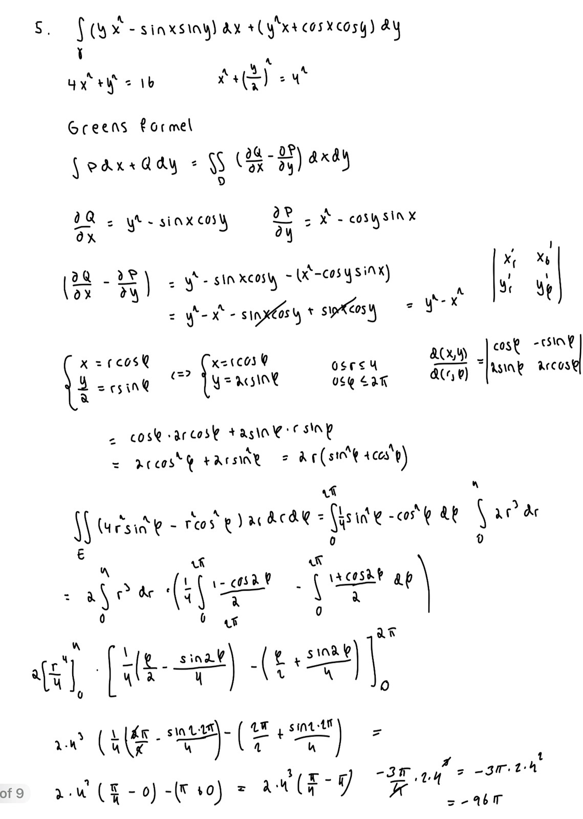
Beräkna kurvintegral skalfaktor

Jag använder greens formel för att lösa denna kurvintegral och börjar med att kasta om i formeln för ellipsen. Byter sedan koordinater men svaret blev inte helt rätt. Istället så sätter de att 2x=rcosx medan jag satte y/2=rsinx. Varför blir det fel?

Börja med att kontrollera din parametrisering.
Det ska gälla att . Sätt in några punkter på ellipsen, t.ex. och . Får du verkligen 16 med din valda radie?
D4NIEL skrev:Börja med att kontrollera din parametrisering.
Det ska gälla att . Sätt in några punkter på ellipsen, t.ex. och . Får du verkligen 16 med din valda radie?
Är en korrekt parametrisering om jag sätter y/4=rsinx? Fick 16 då men svaret blev fel igen. Eller den rätta parametriseringen är bara 2x=rcosx?
Du vill genomföra en parametrisering av det elliptiska området i parametrarna .
Du anger utan att förklara mellan vilka värden ska variera. Dessutom är inte en vinkel.
Klart är att för är x=0 och varvid
Parametriseringen fungerar alltså bara om du låter variera från till .
Då fungerar också vid eftersom och samtidigt som .
Du måste alltså bestämma dig för mellan vilka värden ska variera och tydligt ange din parametrisering. Det är inte fel att låta variera mellan 0 och 1. Eller mellan 0 och 2 eller 0 och 4. Men du måste vara konsekvent och förstå vad du gör samt hur det påverkar konstanterna framför och
Beräkna sedan funktionaldeterminanten och använd rätt gränser för i integralen