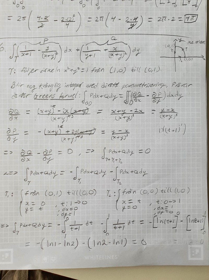
Beräkna kurvintegralen
Fråga6:.jpg?width=800&upscale=false)
Då det är en ganska krånglig integral så har jag inte parametriserat den direkt utan har slutit kurvan längs y-axeln och x-axeln så att jag kan använda Greens formel. Dubbelintegralen enligt Greens formel blir då 0 vilket innebär att kurvintegralen gamma kan likställas med de negativa kurvintegralerna jag har slutit kurvan med. När jag sedan parametriserar de två negativa och summerar blir det 0. Svaret ska bli 1. 
Din slutna kurva har en singularitet i (0, 0). Gäller Greens formel då?
Kan du förklara varför den inte är definierad i origo? För det stämmer att för att kunna sluta kurvan längs origo måste det vara definierat där
Du delar med (x+y)2 på två ställen, och om både x och y har värdet 0, så...
Nu förstår jag, tack!
Har ni förslag på hur uppgiften kan lösas istället? T.ex hur den ska slutas?
Kan du sluta kurvan på sådant sätt att x+y är en konstant på en del av kurvan?
Det kan jag! Jag tror jag har slutit den rätt nu. Har slutit den med y = -x+1. Ska bara räkna ut!