1 svar
76 visningar

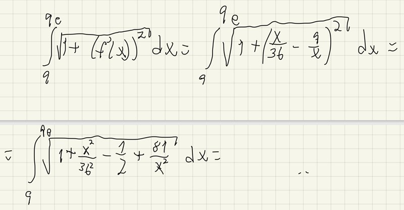
Beräkna längd av kurva

 Har jag gjort fel, eller hur kommer jag vidare?

 

Tack på förhand!

Micimacko 4136
Postad: 10 dec 2020 12:25

Ser rätt ut så långt. Försök bli av med roten genom att skriva det som finns under den som någonting kvadrerat.

Testa tex utveckla (a+b) ^2 och jämför med det du har för att komma fram till vad a och b skulle kunna vara.

Svara
Close