Beräkna längden av kordan


Har jag gjor rätt än så länge på fråga b?
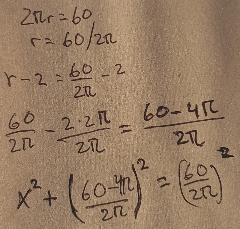
Räkna ut radien 2pir =60. Sedan använder du Pythagoras sats för att räkna ut halva kordan. För att få hela kordan multiplicerar du med två.

På rätt väg??
Fortsätt och räkna ut x
Om vi vet omkretsen så vet vi radien, vet vi radien så vet vi M, och då kan vi använda pythagoras för att räkna ut längden AB.
vilket ger:
bara att substituera in och förenkla.
Ursäkta att jag dröjde.
Jag har inte hunnit räkna matematik på ett tag.
Så här ser min uträkning ut.

Det ser korrekt ut, bra jobbat.
Du har gjort lite extra arbete i slutet då du kan gå från x2 = -4 direkt till genom att förkorta bråket med 2. Jag skulle också rekommendera att förkorta i allmänhet dina bråk så snart du kan. Till exempel i början, innan du upphöjer parenteserna till 2, kan du förkorta till - då blir det lite lättare att beräkna vidare.
Det också löner sig att bli bekväm med konjugatregeln och kvadreringsreglerna. I det här fallet kunde du till exempel beräkna med konjugatregeln utan att behöva upphöja någonting till 2.
Du skulle självklart få samma resultat, men kanske lite snabbare :)
Tack för hjälpen