4
svar
209
visningar
NeymarJr behöver inte mer hjälp
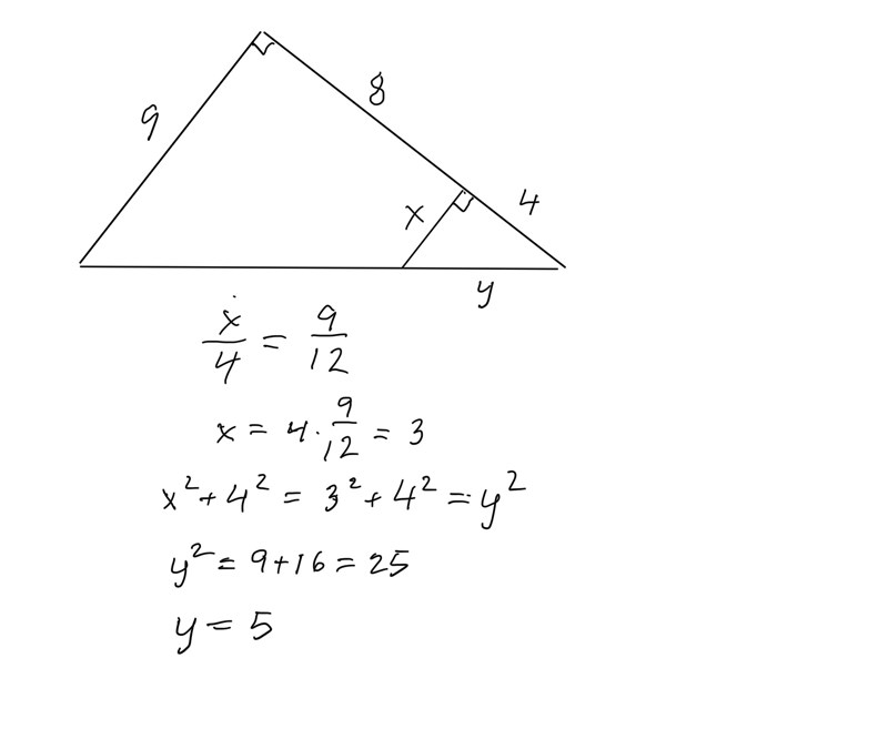
Beräkna längden av sträckan EB av triangel
jag vet inte riktigt hur jag ska göra jag behöver gärna hjälp med hur jag ska göra och hur jag ska komma fram till svaret om texten är suddig så kommer jag skriva här vad de står:
De två trianglama i figuren är likformiga Sträckan AC är 9 m, sträckan DB ar 4 m och sträckan CD är 8 m, Beräkna längden av sträckan EB.
Du tycks ha börjat bra och fått fram att sträckan DE är 3 m. Fortsätt sedan med Pythagoras sats på den lilla rätvinkliga triangeln.
jag tror jag gjorde fel kan du visa hur jag ska göra
Det står ju 3 på X varför skriv du X när de står redan 3 tror du gjorde fel eller?
