beräkna längden l(a,b) av kurvan
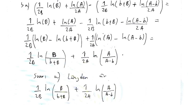
-1.jpg?width=800&upscale=false)
-1.jpg?width=800&upscale=false)
-1.jpg?width=800&upscale=false)

Hej!
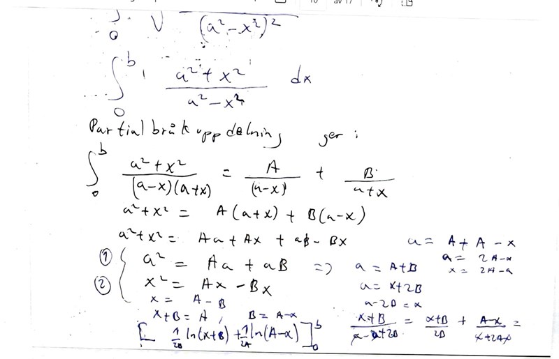
Jag hade problem att lös denna uppgift på en tenta som skrevs för några veckor sen och mitt svar är inte ekvivalent med facits svar heller. Min ide om partialbråksuppdelning verkar inte ha funkat som jag tänkt. Hur bör jag ha gjort ? Jag har en tanke nu i efterhand om att skriva dela upp uttrycket i bråk pga gemensam nämnare som integral från 0 till b( a^2 /(a^2-x^2) )+ integral från 0 till b ( x^2/(a^2-x^2 ) ) . Vet inte om det är rätt tanke dock, jag skulle behöva ledtråd till b) frågan också.
När gradtalet i täljaren är större än eller lika med gradtalet i nämnaren, så behöver man göra polynomdivision först och därefter partialbråksuppdelning.
LuMa07 skrev:När gradtalet i täljaren är större än eller lika med gradtalet i nämnaren, så behöver man göra polynomdivision först och därefter partialbråksuppdelning.
Smart! 2a^2 får du det från polynom division där vi får en rest ? r(x)+q(x)/p(x) tror jag att det var om jag inte minns helt fel.
Exakt, är resten vid polynomdivision.
där k(x) = kvotpolynomet och r(x) = restpolynomet. Det krävs att grad(p) >= grad(q) och därmed gäller att
- grad(k) = grad(p)-grad(q)
- grad(r) < grad(q)
LuMa07 skrev:Exakt, är resten vid polynomdivision.
där k(x) = kvotpolynomet och r(x) = restpolynomet. Det krävs att grad(p) >= grad(q) och därmed gäller att
- grad(k) = grad(p)-grad(q)
- grad(r) < grad(q)
Yes då är jag med. Sen är det bara att integrera 1 och de övriga uttryck mha partialbråkuppdelning. Vad menar du att grad(k)=grad(p)-grad(q)?
Gradtalet av kvotpolynomet (i denna uppgift k(x)=-1, så grad(k)=0) är lika med differensen mellan gradtalen av ursprungstäljaren (i denna uppgift är p(x) = x^2 + a^2, så grad(p)=2) och av nämnaren (i denna uppgift q(x) = -x^2 + a^2, så grad(q)=2)
LuMa07 skrev:Gradtalet av kvotpolynomet (i denna uppgift k(x)=-1, så grad(k)=0) är lika med differensen mellan gradtalen av ursprungstäljaren (i denna uppgift är p(x) = x^2 + a^2, så grad(p)=2) och av nämnaren (i denna uppgift q(x) = -x^2 + a^2, så grad(q)=2)
Ok då är jag med. Tack för hjälpen!