beräkna lim med hjälp av orda och summor
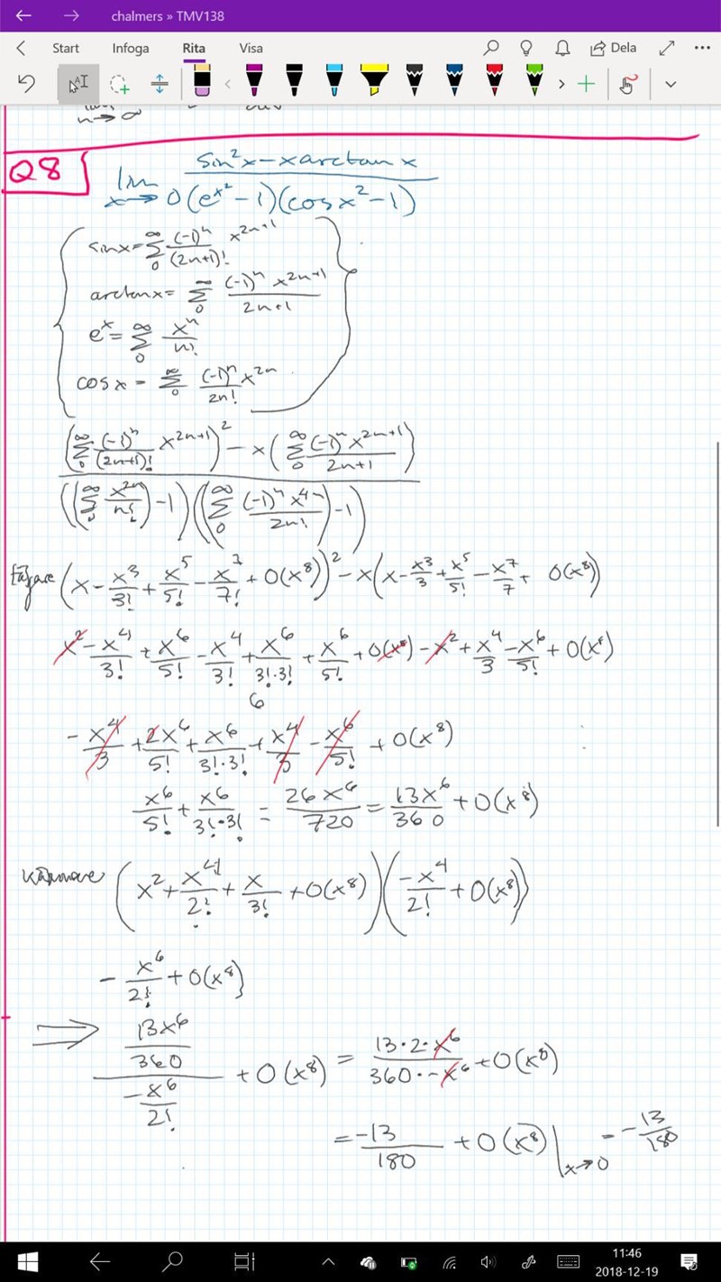
hej jag har en uppgift där jag skall beräkna följande gränsvärde och jag skrev ut e^x^2 och cos o sin o arctan som summor och utvecklade dom till orda 8. jag börjar med täljaren och utvecklar sedan nämnaren till slut får jag -13/180 då jag går till gräns men det är fel. kan nån hjälpa mig
Det har slunkit in ett fakultettecken i expansionen för arctan. Det ska vara x^5/5, inte x^5/5! .
Du har även glömt en term när du summerar termerna från i täljaren. Om du delar upp din uträkning i flera steg och skriver vad du gör i varje steg blir det lättare att följa. Dessutom om du löser likadana uppgifter på samma sätt, alltså med samma steg, då vet du att stegen fungerar och du behöver inte fundera varje gång hur du gjorde förra gången du löste en likadan uppgift.
Aerius skrev:Du har även glömt en term när du summerar termerna från i täljaren. Om du delar upp din uträkning i flera steg och skriver vad du gör i varje steg blir det lättare att följa. Dessutom om du löser likadana uppgifter på samma sätt, alltså med samma steg, då vet du att stegen fungerar och du behöver inte fundera varje gång hur du gjorde förra gången du löste en likadan uppgift.
Jag tycker jag ser den "glömda" termen, lite längre till höger. Att göra det något lättare att följa skadar säkert inte.
Laguna skrev:Aerius skrev:Du har även glömt en term när du summerar termerna från i täljaren. Om du delar upp din uträkning i flera steg och skriver vad du gör i varje steg blir det lättare att följa. Dessutom om du löser likadana uppgifter på samma sätt, alltså med samma steg, då vet du att stegen fungerar och du behöver inte fundera varje gång hur du gjorde förra gången du löste en likadan uppgift.
Jag tycker jag ser den "glömda" termen, lite längre till höger. Att göra det något lättare att följa skadar säkert inte.
Ja på den långa raden är den med. Men två rader ner, , där är den borta. Den kanske försvinner på den långa raden mot termen från arctan. Men som du redan påpekat är fakultet tecknet fel i den termen.
Jag föreslår att du skriver täljaren som
.
Nämnaren kan skrivas
där
Det ger kvoten