1
svar
115
visningar
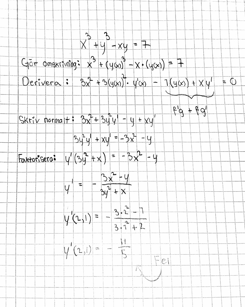
Beräkna lutningen av kurvan
Hej! Jag får fel svar på denba uppgift, kan någon hjälpa mig? Tack.
Beräkna lutningen i kurvan x^3 + y^3 - xy =7
i punkten (x,y) = (2,1)
Det rätta svaret skall bli -11 men jag får det till - 11/5
-1.jpg?width=800&upscale=false)
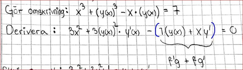
Du fick fel tecken på termen xy' när du deriverade pga att du glömde parenteser (blåmarkerat)
