Beräkna magnetfältet från den magnetiska dipolen


Jag använde mig av indexnotation i denna uppgift, men kommer inte längre än uttrycket längst nedan.
Jag minns för stunden inte levi civita relationerna utantill så jag kan kan inte dubbellkolla första stegen.
För att komma vidare från sista raden kan du dock bara använda deriveringsregeln kvotregeln.
ri är samma som xi så xi är en bättre notation
xi-derivatan av xj är δij
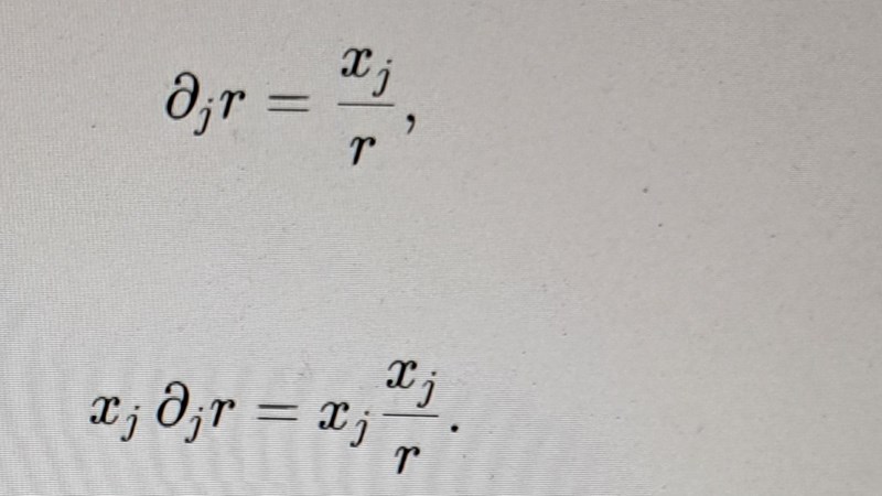
xi-derivaran av r är xi/r vilket du inser om du deriverar 1/√(x^2 + y^2 + z^2) med avseende på antingen x y eller z.
SeriousCephalopod skrev:Jag minns för stunden inte levi civita relationerna utantill så jag kan kan inte dubbellkolla första stegen.
För att komma vidare från sista raden kan du dock bara använda deriveringsregeln kvotregeln.
ri är samma som xi så xi är en bättre notation
xi-derivatan av xj är δij
xi-derivaran av r är xi/r vilket du inser om du deriverar 1/√(x^2 + y^2 + z^2) med avseende på antingen x y eller z.
Hur kommer det sig att ri är samma som xi? Det ser jag inte riktigt? Vad menar du med att xj derivatan av xi är &ij?
Det sista du skriver innebär alltså att jag ska ta och derivera nämnaren r^3 mha kedjeregeln map på xi? Du skrev att man ska använda sig av kvotregeln.
r är en vektor (x1, x2, x3) så ri är då såklart xi
Du kan använda r1 r2 r3 osv istället men då blir det ologiskt att prata om derivator med avseende på xi.
Nör vi får ∂xi / ∂xj så är detta 1 om i och j är lika eftersom derivatan av en variabel med avseende på sig själv är 1. Men eftersom variablerna x1 x2 x3 är oberoende så är ∂xi / ∂xj noll om i och j är olika. Därmed är ∂xi / ∂xj samma som kroenkerdeltat. Utan detta faktum är indexnoration rätt poänglöst att använda.
Om det sista så är
xi / r^3
En funktion som formats av kvoten av två funktioner så blir såklart en kombination av kvotregeln/produktregeln och kedjeregeln.
SeriousCephalopod skrev:r är en vektor (x1, x2, x3) så ri är då såklart xi
Du kan använda r1 r2 r3 osv istället men då blir det ologiskt att prata om derivator med avseende på xi.
Nör vi får ∂xi / ∂xj så är detta 1 om i och j är lika eftersom derivatan av en variabel med avseende på sig själv är 1. Men eftersom variablerna x1 x2 x3 är oberoende så är ∂xi / ∂xj noll om i och j är olika. Därmed är ∂xi / ∂xj samma som kroenkerdeltat. Utan detta faktum är indexnoration rätt poänglöst att använda.
Om det sista så är
xi / r^3
En funktion som formats av kvoten av två funktioner så blir såklart en kombination av kvotregeln/produktregeln och kedjeregeln.
Om jag förstår dig rätt här så är r en vektor som består av (x1, x2,x3) dvs (x, y,z) och då är det samma sak som xi där i =1,2,3 right?
Men jag har mi d/dxj(rj/r^3) termen och sen mj d/dxj(ri/r^3). Så jag förstår tyvärr inte hur jag ska behandla detta på ett enkelt sätt. Men att byta ut ri och rj mot xi och xj är väl smart. Det här med kroneckerdeltat förstår jag inte , jag minns dock att dirj=&ij eller något sånt.
Första termen på sista bilden i min bild bör alltså bli mi bara menar du då d/dxj(xj/r^3)? Blir det d/dxj(xjr^-3)=r^-3d/dxj(xj)+xjd/dxj(r^-3)
Den första termen blir noll, dvs
eftersom enligt formelsamlingen / utantillkunskap.
Kan du det inte utantill kan du till exempel härleda den med hjälp av formeln för divergensen av ett vektorfält i sfäriska koordinater.
D4NIEL skrev:Den första termen blir noll, dvs
eftersom enligt formelsamlingen / utantillkunskap.
Kan du det inte utantill kan du till exempel härleda den med hjälp av formeln för divergensen av ett vektorfält i sfäriska koordinater.
Varför är det 0? Jag får inte det till 0. Man kan ju byta rj mot xj i första termen. är det inte så att d/dxj(xj/r^3)=r^-3*dxj(xj)+xjdj(rj)*(-3r^-4)=r^-3-3r^-4*xj/r
Du har glömt en 3:a på första termen
Den andra termen kan förenklas enligt
Tänk på att betyder
D4NIEL skrev:Du har glömt en 3:a på första termen
Den andra termen kan förenklas enligt
Tänk på att betyder
Nu är jag inte med. Hur kan dj(xjr^-3)=3/r^3? Ska inte andra termen vara -3/r^4*xj*dj(r)?
Den första termen eftersom
Den andra termen
är inte trivial att beräkna. Sedan ska du kontrahera med . Det visar sig att . En minnesregel är , därmed motsvarar kontraktionen skalärprodukten .
Visa din uträkning för
D4NIEL skrev:Den första termen eftersom
Den andra termen
är inte trivial att beräkna. Sedan ska du kontrahera med . Det visar sig att . En minnesregel är , därmed motsvarar kontraktionen skalärprodukten .
Visa din uträkning för
Jag har tyvärr ingen uträkning än den i #1. Jag har ganska svårt att hänga med på din lilla lösning och komma vidare från det jag har i #1. Du har tex inte förklarat varför djxjr^-3=3/r^-3 och den andra termen förstår jag inte alls vad som händer med dj(r) så att svaret bara blir -3/r^3. Det borde bli såhär , men det kanske är det du menar?


För den första termen, är du med på att ?
För den andra termen kan du använda din formel om du vill, då blir det
är du med?
Sedan gäller
Alltså blir det kvar för den andra termen.
D4NIEL skrev:För den första termen, är du med på att ?
För den andra termen kan du använda din formel om du vill, då blir det
är du med?
Sedan gäller
Alltså blir det kvar för den andra termen.
Ja jag är med på det efter att ha frågat AI. Det blir precis som du skrev.
Minnesregeln i vektornotation motsvarar alltså din formel i indexnotation.
För den andra termen i uppgiften (den som blir kvar) gäller
D4NIEL skrev:Minnesregeln i vektornotation motsvarar alltså din formel i indexnotation.
För den andra termen i uppgiften (den som blir kvar) gäller
Jag har att mj(r^-3dxj(ri)-3r^-4xidj(r))=mj(r^-3&ij-3r^-4xidj(r))=mj(3r^-3-3r^-4*r^2/r)
Ja, jättebra om jag tolkar din notation rätt. Sen brukar det vara artigt att översätta det tillbaka till vektornotation :)


Något har gått snett i mina beräkningar här. Svaret blir inte samma när jag kikat på lösningen.
Tillägg: 1 dec 2025 20:37
Eller det var inget jag redde ut något misstag i min lösning.