2
svar
83
visningar
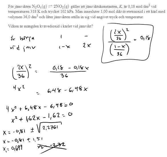
Beräkna mängden vid jmv

svaret ska bli 0.66mol och jag får 0.699. Har jag gjort fel någonstans eller står det fel i facit?
Jag skulle räknat likadant som du gjorde.
Det är lite konstigt att man givit värden på alla tre av tryck, volym och temperatur.
Idealgaslagen PV = nRT. Vi får väl kolla om siffrorna i uppgiften hänger ihop:
VL = 0,036.102.103 = 3 672 HL = 1,00.8,314.318 = 2 643,852 så det stämmer inte. Om dikvävetetroxiden sänderfaller så kommer n att öka så det kan tänkas att det stämmer vid jämvikt. Om x mol dikvävetetroxid sönderfaller så är den totala mängden gas 1+x mol. Då skulle vi få ekvationen 3672=(1+x)2644 => x = 3671/2644-1 => x = 0,388 så det stämmer inte alls.
Okej, så det står fel i facit