1
svar
327
visningar
solaris behöver inte mer hjälp
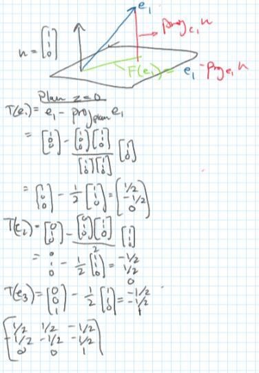
beräkna matrisen för ortogonal proj. på plan z=0
hej! jag har en uppgift där jag skall hitta matrisen för den ortogonala projektionen på planet z=0. jag har använt mig av hur standardvektorerna beter sig dvs F(e1) osv. men facit säger det ska va 
oj nu ser jag vad jag gjort fel. normalen är ju 0,0,1 och inte 1,1,0