4 svar
159 visningar
Ygolopot behöver inte mer hjälp
Ygolopot 215
Postad: 23 maj 2021 15:11 Redigerad: 23 maj 2021 15:12

Beräkna maxintervall för lösning till diffekv

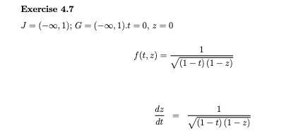
Hej, har att J = (-inf, 1), z(0) = 0 och att t är från intervallet J. Skall lösa:

z'(t)=1(1-t)(1-z), jag har inget facit på själva svaret på funktionen utan bara vilket maxintervall det ska vara så ej säker på att min uträkning stämmer, men har gjort såhär:

z'(t)=1(1-t)(1-z) <=> (1-z)dz=1(1-t)dt

< = > (1-z)3/2=31-t + D,  D= Konst.

Med villkoret z(0) = 0 får jag D = -2:

z(t)=1- (31-t-2)2/3, svaret är att maximalt intervall där diffekvationen har en lösning är på intervallet t(-inf, 5/9)

Varför är det så? En lösning till den här differentialekvationen borde väl finnas på hela J?

Micimacko 4136
Postad: 23 maj 2021 16:26

Jag tror problemet kommer härifrån. Du kvadrerar fram extra lösningar på något sätt.

Ygolopot 215
Postad: 23 maj 2021 18:31

Tack för svar! Det låter vettigt det du säger. Jag kan ha klantat mig med ekvivalens och implikaiton. Kan dock vara så att jag missuppfattat övningen och svaret som är på bilden nedan. Från all text som är ifrån kompendiet jag läser ur och som finns ovan bilderna så förstår jag det som att startvillkoret är något element ur mängden G och t går på intevallet J. Tänker att det kanske har att göra med begränsningen men fattar inte riktigt varför...

 

Övning:

Svar:

Micimacko 4136
Postad: 23 maj 2021 19:52

Jag vet inte vad J står för här, men det verkar helt klart skumt att ge ett intervall men samtidigt säga att man ska bestämma det själv. Jag har bara sett uppgifter med varken eller. Vad skriver boken om J?

Ygolopot 215
Postad: 24 maj 2021 13:32

Bilden visar hur J brukar presenteras. I ett exempel innan hade jag J = [-1,1] och svaret på diffekvationen var: z(t)=1(1-t)(3/2)

Där blev "maximal solution and maximal interval of existence" [-1,1) vilket jag är helt med på. Men i fallet i tråden förstår jag inte riktigt anledningen till inskränkningen...

Jag känner mig dock osäker på teorin så har säkert missuppfattat något. 

Svara
Close