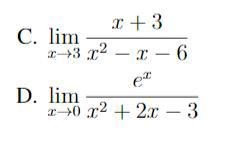
Beräkna nedanstående gränsvärden.
Hej!
Jag har fastnat lite på de här uppgifterna.
Jag har inget facit att kolla på.
Beräkna nedanstående gränsvärden.

C) om man stoppar in 3 i funktionen så får man:
Jag försökte också faktorisera uttrycket i nämnaren.
Är detta rätt svar eller kan man på något annat sätt hitta ett gränsvärde.
D) Jag antar att man bara stoppar in 0 i alla x och får:
Är detta rätt?
Uppg D: Precis, direktinsättning ger att gränsvärdet måste vara -1/3.
Lägg varje fråga i en egen tråd i fortsättningen! // Smutstvätt/Pepparkvarn, moderator
Angående fråga C: Du får ett värde som tycks gå mot oändligheten. Undersök höger- och vänstergränsvärdet i punkten, vad händer? Du kan även partialbråksuppdela, och se om det ger dig några nya insikter. ^ ^
Angående fråga D (svarar på den eftersom svaret blir så kort): Ja, det stämmer. :)
Är detta svaret då?
Eftersom gränsvärdet är olika när man närmar sig 3 från vänster respektive höger, existerar inte gränsvärdet.
Du bör genomföra en mer stringent behandling av uppgiften pepparkvarn/Smutstvätts tips om partialbråksuppdelning är bra, eller så kan du skriva om täljaren som x+3 = x-3+6 så får du två termer, där den ena kan förkortas så att man får ett värde när x = 3, men den andra termen...