9 svar
284 visningar
Hejsan266 behöver inte mer hjälp
Hejsan266 1361
Postad: 26 apr 2024 23:00 Redigerad: 26 apr 2024 23:00

Beräkna och bestäm

Hej, vad är skillnaden mellan om en uppgift säger att du ska beräkna eller bestämma? Nedan finns två uppgifter och facit på dem. Om de vill att jag ska beräkna ska jag inte då ha ett svar i siffor eller i alla fall så jag inte kan förenkla vidare. I 6099 a är svaret sin och cos men varför skriver de inte in det i miniräknaren och får svaret i siffror. För om man kollar på uppgiften 9062 har de skrivit svaret på ett liknande sätt men där går det ut på att bestämma.

Marilyn 4014
Postad: 26 apr 2024 23:34 Redigerad: 26 apr 2024 23:36

Kul fråga. Jag har aldrig funderat över detta.

 

Du bestämmer knappast 234+672, du beräknar.

Men du bestämmer den största volym som en jordgubbskartong i form av ett rätblock utan lock med materialarea 6 dm2 kan ha. Visst, det kräver en del beräkningar, men de är underordnade det högre syftet.

Jag skulle säga att när man ska bestämma något, så ligger fokus på att formulera en strategi, beräkningarna är rutin.  

Fast skillnaden är hårfin mellan 6092 och 6099. Du behöver tänka litet på 6092a – vad är real- respektive imaginärdel osv. Men du kan behöva rita upp en enhetscirkel när du löser 6099a. Om beräkna/bestäm hade bytt plats i dessa uppgifter skulle jag inte märkt det. Troligen har inte uppgifternas kompositörer funderat over ordvalet.

Trinity2 4351
Postad: 26 apr 2024 23:42

En bra fråga som nog ej har ett entydigt svar. 

Jag tolkar beräkna som att svaret skall vara numeriskt, i någon mening, medan 'bestäm' kan vara ett uttryck. Dock skall man inte ta detta som en tolk för vad svaret skall vara. Olika lärare avser olika saker. Det finns ingen stringens i dessa två uttryck vad jag upplevt.

Dessutom är de givna svaren inte bra heller. 6099a kan skrivas mera 'elegant', likaså 6092 c)-e). Att svara som 6092c-e borde ge poängavdrag, såvida svaret inte skall ges på explicit polär form.

Den tråkiga verkligheten som elev är att man får hoppas på det bästa och att läraren har någon form av rimlig 'acceptans' vid prov.

Marilyn 4014
Postad: 26 apr 2024 23:55
Trinity2 skrev:

 

Dessutom är de givna svaren inte bra heller. 6099a kan skrivas mera 'elegant', likaså 6092 c)-e). Att svara som 6092c-e borde ge poängavdrag, såvida svaret inte skall ges på explicit polär form.

 

Jomenvisst. På 6092e är onekligen –1 ett enklare svar än det facit ger. Poängen här var nog att man ska inse att ”upphöjt till 3” ger ett trefaldigande av argumentet.

Sedan skrev du (Hejsan266) att det vore enklare att slå in på räknaren och få svaret i siffror. Men då får du inte exakt svar, det blir hur många siffror som helst om du ska skriva cosinus eller sinus för 15°.

Hejsan266 1361
Postad: 27 apr 2024 00:00

På något sätt har jag alltid använt mig av formelbladet och omvandlat och fått ett exakt svar. Jag kan ju också ha räknat fel och genom det kunnat använda formelbladet. Saken är att boken att använt sig av dessa två ord för två avsnitt nu och jag får fel svar eftersom jag ibland skriver med siffror när de inte gör det och tvärtom. 

Vet ni hur de gör på nationella? Ska svaret vara i siffror eller i cos-sin/uttryckssättet?

Marilyn 4014
Postad: 27 apr 2024 00:01 Redigerad: 27 apr 2024 00:13

PS Man kan bestämma det exakta värdet för cos 15° och sin 15° genom att använda trigonometriska formler för cos(45°–30°) och sin(45°–30°) eftersom vi vet de trigomeriska värdena för 45 och 30 grader. Men kanske var det inte syftet med uppgiften att man skulle glassa med sådant.

Marilyn 4014
Postad: 27 apr 2024 00:10
Hejsan266 skrev:

Vet ni hur de gör på nationella? Ska svaret vara i siffror eller i cos-sin/uttryckssättet?

Jag tycker det ska framgå av frågan ifall svaret ska vara exakt eller om man kan ge närmevärde.

Ibland fattar man vilket som är rimligt – i ett givet uttryck med roten ur 5 och sinus (pi/12) är det naturligt att svara exakt, men om en snickare har mätt en skivas längd och bredd till 187,4 resp 92,8 cm så kan det kännas rimligare att ange diagonalen till 209 cm än som roten ur 43730,6 cm. 

Hejsan266 1361
Postad: 27 apr 2024 00:29 Redigerad: 27 apr 2024 00:29

Jo, man kan ju ibland se om det är ett exakt svar eller ett närmevärde. Men jag tycker att det är väldigt otydligt vad man ska göra här på 6092. På a och b har de skrivit 1 men om jag skulle vilja skriva svaret på delfråga e skulle det stå -1, vilket är ett bättre svar, tror jag. 

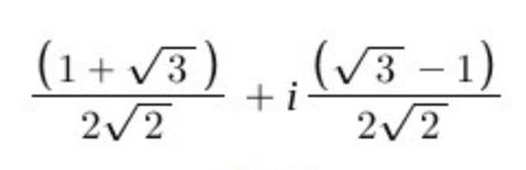
Jag löste 6099a (den övre) med siffror och det ger samma värde som facits. Skulle jag få rätt på ett prov om ni fick bestämma?

Trinity2 4351
Postad: 27 apr 2024 00:35

Beror lite på hur mycket som ingår i provet men 

efter eliminering av rot2 i nämnare tycker jag är ett "snyggare" svar.

Marilyn 4014
Postad: 27 apr 2024 00:51

Ja, svaren på 6092 c–e är nog inte bra på prov. Jag tror att författaren velat hinta om att

ifall z = cos v + i sin v

så är

zk = cos (kv) + i sin (kv)

att bestämma exakta trigonometriska värden för 60 och 120 grader är roligt och stärkande, men inte det övningen handlade om. Och trycker du in uttrycken i en räknare, visst du får bra närmevärden, men du missar hela showen. 

Svara
Close