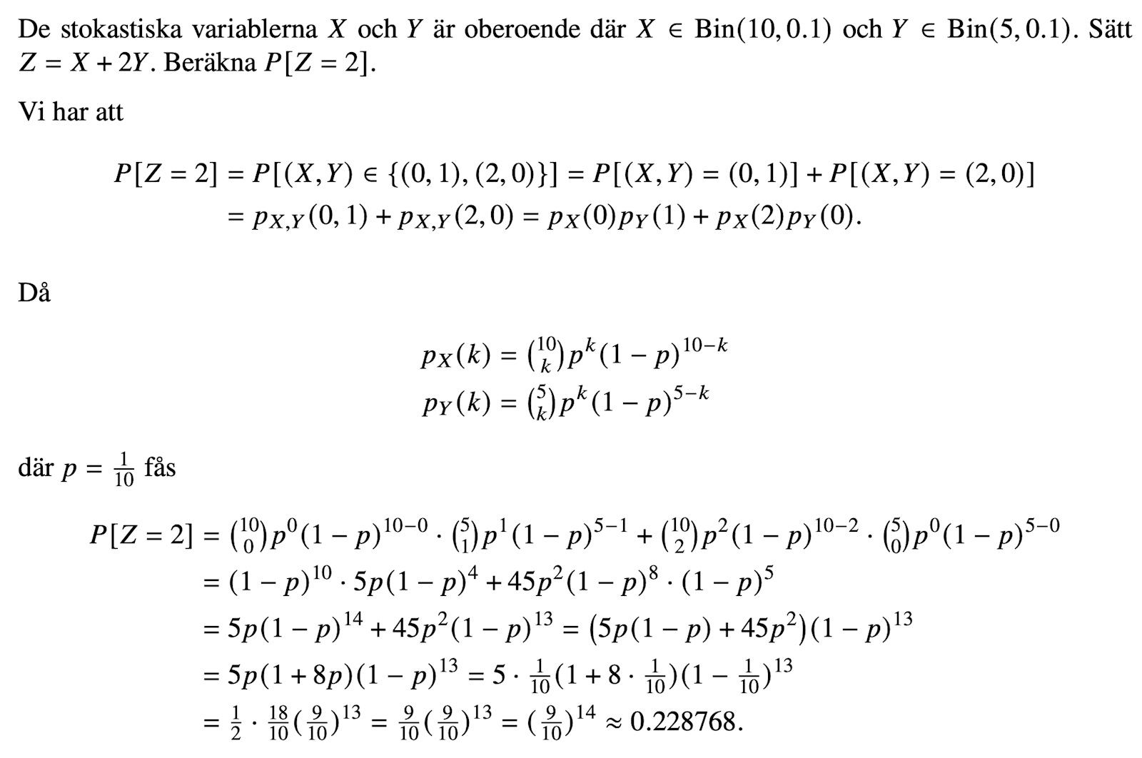
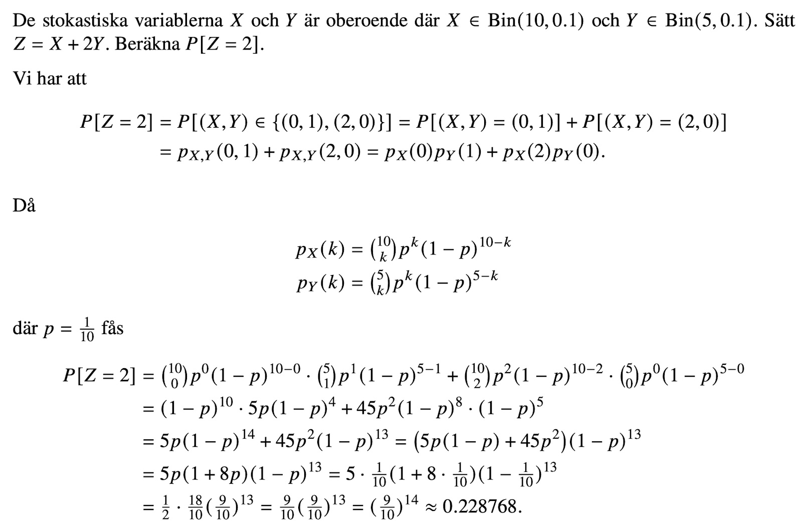
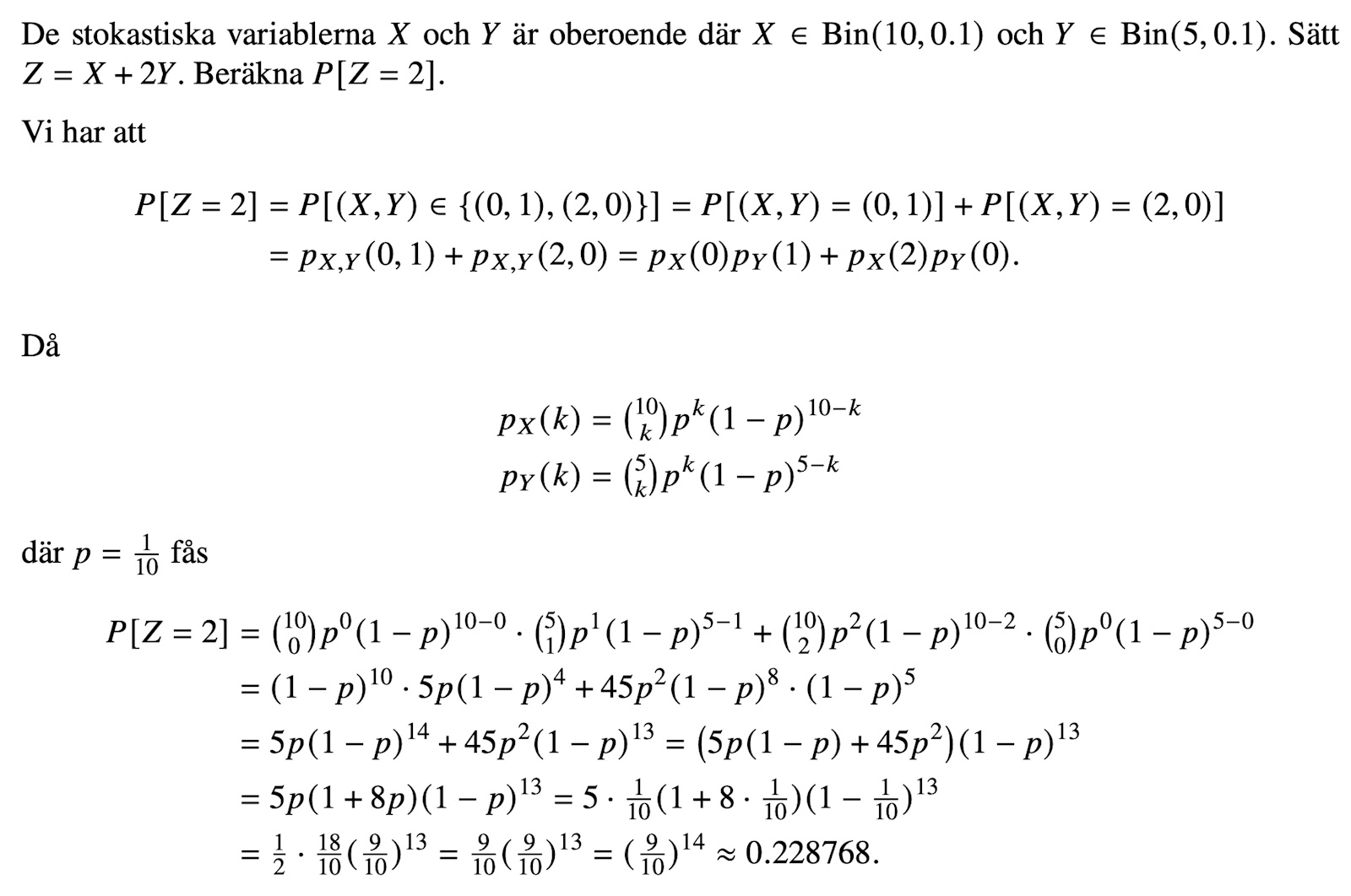
Beräkna P(Z=2)
Hej!
Jag fastnade på denna uppgift och förstår att man inte kan bara multiplicera n2 med 2 för att få det att likna X+Y => bin(n1+n2,p). Hur ska man överhuvudtaget lösa detta manuellt? Ti-82 stats räknare gick inte att lösa med detta pga vi har två random variabler.

Om exempelvis X=0 och Y=1 blir Z=2. Vad är ? Kom ihåg att de är oberoende.
För vilka andra värden på X och Y blir Z=2?
Hondel skrev:Om exempelvis X=0 och Y=1 blir Z=2. Vad är ? Kom ihåg att de är oberoende.
För vilka andra värden på X och Y blir Z=2?
förstår tyvärr inte varför man testar på X=0, Y=1 som ger Z=2 samt var P(X=0snittY=1) kommer ifrån? finns det någon sats eller formel jag glömt att tänka på här? jag är ganska förvirrad justnu.
destiny99 skrev:Hondel skrev:Om exempelvis X=0 och Y=1 blir Z=2. Vad är ? Kom ihåg att de är oberoende.
För vilka andra värden på X och Y blir Z=2?
förstår tyvärr inte varför man testar på X=0, Y=1 som ger Z=2 samt var P(X=0snittY=1) kommer ifrån? finns det någon sats eller formel jag glömt att tänka på här? jag är ganska förvirrad justnu.
Endast (X,Y)={(0,1), (2,0)} ger Z=2.
Du söker
p_{X,Y}(0,1)+p_{X,Y}(2,0)
Hur kan detta skrivas om X och Y är ober?
Trinity2 skrev:destiny99 skrev:Hondel skrev:Om exempelvis X=0 och Y=1 blir Z=2. Vad är ? Kom ihåg att de är oberoende.
För vilka andra värden på X och Y blir Z=2?
förstår tyvärr inte varför man testar på X=0, Y=1 som ger Z=2 samt var P(X=0snittY=1) kommer ifrån? finns det någon sats eller formel jag glömt att tänka på här? jag är ganska förvirrad justnu.
Endast (X,Y)={(0,1), (2,0)} ger Z=2.
Du söker
p_{X,Y}(0,1)+p_{X,Y}(2,0)
Hur kan detta skrivas om X och Y är ober?
binomialfördelning regeln? jag vet tyvärr inte.
destiny99 skrev:Trinity2 skrev:destiny99 skrev:Hondel skrev:Om exempelvis X=0 och Y=1 blir Z=2. Vad är ? Kom ihåg att de är oberoende.
För vilka andra värden på X och Y blir Z=2?
förstår tyvärr inte varför man testar på X=0, Y=1 som ger Z=2 samt var P(X=0snittY=1) kommer ifrån? finns det någon sats eller formel jag glömt att tänka på här? jag är ganska förvirrad justnu.
Endast (X,Y)={(0,1), (2,0)} ger Z=2.
Du söker
p_{X,Y}(0,1)+p_{X,Y}(2,0)
Hur kan detta skrivas om X och Y är ober?
binomialfördelning regeln? jag vet tyvärr inte.
Hur kan en simultan slh-fkn skrivas om ingående s.v. är oberoende? Kolla din lärobok.
Trinity2 skrev:destiny99 skrev:Trinity2 skrev:destiny99 skrev:Hondel skrev:Om exempelvis X=0 och Y=1 blir Z=2. Vad är ? Kom ihåg att de är oberoende.
För vilka andra värden på X och Y blir Z=2?
förstår tyvärr inte varför man testar på X=0, Y=1 som ger Z=2 samt var P(X=0snittY=1) kommer ifrån? finns det någon sats eller formel jag glömt att tänka på här? jag är ganska förvirrad justnu.
Endast (X,Y)={(0,1), (2,0)} ger Z=2.
Du söker
p_{X,Y}(0,1)+p_{X,Y}(2,0)
Hur kan detta skrivas om X och Y är ober?
binomialfördelning regeln? jag vet tyvärr inte.
Hur kan en simultan slh-fkn skrivas om ingående s.v. är oberoende? Kolla din lärobok.
Jag förstår inte vad simultan slf fkn är för något? Kan man inte multiplicera sannolikheterna då X och Y är oberoende ?
destiny99 skrev:Trinity2 skrev:destiny99 skrev:Trinity2 skrev:destiny99 skrev:Hondel skrev:Om exempelvis X=0 och Y=1 blir Z=2. Vad är ? Kom ihåg att de är oberoende.
För vilka andra värden på X och Y blir Z=2?
förstår tyvärr inte varför man testar på X=0, Y=1 som ger Z=2 samt var P(X=0snittY=1) kommer ifrån? finns det någon sats eller formel jag glömt att tänka på här? jag är ganska förvirrad justnu.
Endast (X,Y)={(0,1), (2,0)} ger Z=2.
Du söker
p_{X,Y}(0,1)+p_{X,Y}(2,0)
Hur kan detta skrivas om X och Y är ober?
binomialfördelning regeln? jag vet tyvärr inte.
Hur kan en simultan slh-fkn skrivas om ingående s.v. är oberoende? Kolla din lärobok.
Jag förstår inte vad simultan slf fkn är för något? Kan man inte multiplicera sannolikheterna då X och Y är oberoende ?
Din lärobok kan omöjligen hoppa över detta viktiga resultat. Vilken bok använder du?
Det finns två möjligheter att pussla ihop Z=2.
Antingen är X=2 och då måste Y=0
Eller så är X=0 och då är Y=1
Du behöver räkna ut sannolikheterna för X=2 och Y=0 samt multiplicera dem för att få sannolikheten för första fallet
Du behöver räkna ut sannolikheterna för X=0 och Y=1 samt multiplicera dem för att få sannolikheten för andra fallet
Slutligen är sannolikheten för Z=2 summan av sannolikheterna för de två möjliga fallen.
Trinity2 skrev:destiny99 skrev:Trinity2 skrev:destiny99 skrev:Trinity2 skrev:destiny99 skrev:Hondel skrev:Om exempelvis X=0 och Y=1 blir Z=2. Vad är ? Kom ihåg att de är oberoende.
För vilka andra värden på X och Y blir Z=2?
förstår tyvärr inte varför man testar på X=0, Y=1 som ger Z=2 samt var P(X=0snittY=1) kommer ifrån? finns det någon sats eller formel jag glömt att tänka på här? jag är ganska förvirrad justnu.
Endast (X,Y)={(0,1), (2,0)} ger Z=2.
Du söker
p_{X,Y}(0,1)+p_{X,Y}(2,0)
Hur kan detta skrivas om X och Y är ober?
binomialfördelning regeln? jag vet tyvärr inte.
Hur kan en simultan slh-fkn skrivas om ingående s.v. är oberoende? Kolla din lärobok.
Jag förstår inte vad simultan slf fkn är för något? Kan man inte multiplicera sannolikheterna då X och Y är oberoende ?
Din lärobok kan omöjligen hoppa över detta viktiga resultat. Vilken bok använder du?
Jag använder bloms bok (den blåa)
D4NIEL skrev:Det finns två möjligheter att pussla ihop Z=2.
Antingen är X=2 och då måste Y=0
Eller så är X=0 och då är Y=1
Du behöver räkna ut sannolikheterna för X=2 och Y=0 samt multiplicera dem för att få sannolikheten för första fallet
Du behöver räkna ut sannolikheterna för X=0 och Y=1 samt multiplicera dem för att få sannolikheten för andra fallet
Slutligen är sannolikheten för Z=2 summan av sannolikheterna för de två möjliga fallen.
Hm hur ska uppställningen vara då för sannolikheten för X=2, Y=0 samt X=0 och Y=1?
Den sista meningen antar jag att du menar PZ(Z=2)=Px,y(X=0,Y=1)+Px,y(X=2,Y=0)?
Det blir snyggare om man räknar exakt.
Visa spoiler

Trinity2 skrev:Det blir snyggare om man räknar exakt.
Visa spoiler
Varför summerar man Px,y(X=0,Y=1) och Px,y(X=2, Y=0) för att få P(Z=2)?
destiny99 skrev:Trinity2 skrev:Det blir snyggare om man räknar exakt.
Visa spoiler
Varför summerar man Px,y(X=0,Y=1) och Px,y(X=2, Y=0) för att få P(Z=2)?
Unionen av 2 disjunkta händelser med samma resulat (Z=2)
Trinity2 skrev:destiny99 skrev:Trinity2 skrev:Det blir snyggare om man räknar exakt.
Visa spoiler
Varför summerar man Px,y(X=0,Y=1) och Px,y(X=2, Y=0) för att få P(Z=2)?
Unionen av 2 disjunkta händelser med samma resulat (Z=2)
Hm jag förstår inte. Menar du P(AUB)=P(A)+P(B)? Hur vet man att det är 2 disjunkta händelser i detta problem? Hur kopplar du Z=X+2Y med unionen ?
destiny99 skrev:Trinity2 skrev:destiny99 skrev:Trinity2 skrev:Det blir snyggare om man räknar exakt.
Visa spoiler
Varför summerar man Px,y(X=0,Y=1) och Px,y(X=2, Y=0) för att få P(Z=2)?
Unionen av 2 disjunkta händelser med samma resulat (Z=2)
Hm jag förstår inte. Menar du P(AUB)=P(A)+P(B)? Hur vet man att det är 2 disjunkta händelser i detta problem? Hur kopplar du Z=X+2Y med unionen ?
Utfallen har inget snitt (gemensamt utfall), alltså är de disjunkta och din additionsformel är korrekt.
Trinity2 skrev:destiny99 skrev:Trinity2 skrev:destiny99 skrev:Trinity2 skrev:Det blir snyggare om man räknar exakt.
Visa spoiler
Varför summerar man Px,y(X=0,Y=1) och Px,y(X=2, Y=0) för att få P(Z=2)?
Unionen av 2 disjunkta händelser med samma resulat (Z=2)
Hm jag förstår inte. Menar du P(AUB)=P(A)+P(B)? Hur vet man att det är 2 disjunkta händelser i detta problem? Hur kopplar du Z=X+2Y med unionen ?
Utfallen har inget snitt (gemensamt utfall), alltså är de disjunkta och din additionsformel är korrekt.
okej. Utfallen är vilka då i detta problem?
destiny99 skrev:okej. Utfallen är vilka då i detta problem?
Det ena utfallet är "X=2 och Y=0", det andra utfallet är "X=0 och Y=1"
Man är alltså ute efter de par av icke-negativa heltalsvärden X och Y som gör att X+2Y blir lika med 2. Det finns bara två sådana par "X=2 och Y=0" respektive "X=0 och Y=1".
(Att det är just icke-negativa heltal man är ute efter beror på att X och Y är binomialfördelade som säkert antar endast icke-negativa heltalsvärden)
LuMa07 skrev:destiny99 skrev:okej. Utfallen är vilka då i detta problem?
Det ena utfallet är "X=2 och Y=0", det andra utfallet är "X=0 och Y=1"
Man är alltså ute efter de par av icke-negativa heltalsvärden X och Y som gör att X+2Y blir lika med 2. Det finns bara två sådana par "X=2 och Y=0" respektive "X=0 och Y=1".
(Att det är just icke-negativa heltal man är ute efter beror på att X och Y är binomialfördelade som säkert antar endast icke-negativa heltalsvärden)
Ok jag är med på din förklaring. Men hur kan dessa två utfall inte ha gemensamt snitt? Det har dem väl när vi söker Px(X=2 och Y=0)=Px(X=2)×Py(Y=0) och samma sak med andra sannolikheten då X=0 och Y=1
Vad betyder det när man säger snittet?
Kan det på något sätt bli "X=2 & Y=0" OCH SAMTIDIGT "X=0 & Y=1"?
Nej, likheter X=2 och X=0 (respektive Y=0 och Y=1) motsäger varandra, så de kan inte vara uppfyllda på en gång. Utfallen "X=2 & Y=0" och "X=0 & Y=1" är därmed disjunkta.
LuMa07 skrev:Vad betyder det när man säger snittet?
Kan det på något sätt bli "X=2 & Y=0" OCH SAMTIDIGT "X=0 & Y=1"?
Nej, likheter X=2 och X=0 (respektive Y=0 och Y=1) motsäger varandra, så de kan inte vara uppfyllda på en gång. Utfallen "X=2 & Y=0" och "X=0 & Y=1" är därmed disjunkta.
Om jag förstår dig rätt menar du alltså Px,y(X=0,Y=1 och X=2, Y=0)=Px,y(X=0,Y=1)×Px,y(X=2,Y=0) inte stämmer? Fast i frågan säger de att X och Y är oberoende och det innebär väl att P(AsnittB)=P(A)×P(B)? Detta gäller alltså för ena utfallet då X=0 och Y=1 och andra utfallet separat.
X är oberoende av Y, så . Om man tänker sig P(A B) = P(A) · P(B), så är A = "" och B = "".
Paret (X,Y) är beroende av paret (X,Y), så
Utfallen och är disjunkta, så
LuMa07 skrev:X är oberoende av Y, så . Om man tänker sig P(A B) = P(A) · P(B), så är A = "" och B = "".
Paret (X,Y) är beroende av paret (X,Y), så
Utfallen och är disjunkta, så
Varför är P{(X,Y)=(0,1) och (X,Y)=(2,0)}=0?
Så P(Z=2)=P(X=0,Y=1)+P(X=2,Y=0)?
destiny99 skrev:Varför är P{(X,Y)=(0,1) och (X,Y)=(2,0)}=0?
Så P(Z=2)=P(X=0,Y=1)+P(X=2,Y=0)?
stämmer bra (detta nämndes redan i #4)
Varför är P{(X,Y)=(0,1) och (X,Y)=(2,0)}=0?
Låt mig försöka åskådliggöra detta. Säg att man har två tiosidiga rättvisa tärningar, en röd och en blå:
- Man kastar den röda tärningen 10 gånger. Stokastiska variabeln anger i hur många av kasten man fick en 6:a.
- Man kastar den blåa tärningen 5 gånger. Stokastiska variabeln anger i hur många av kasten man fick en 6:a.
Likheten innebär att man:
- aldrig fått en 6:a på den röda tärningen och
- en gång fått en 6:a på den blåa tärningen.
Likheten innebär att man:
- två gånger fått en 6:a på den röda tärningen och
- aldrig fått en 6:a på den blåa tärningen.
Ser du att påståendena och inte kan vara sanna samtidigt? Då är P(båda två är sanna samtidigt) = 0.
LuMa07 skrev:destiny99 skrev:Varför är P{(X,Y)=(0,1) och (X,Y)=(2,0)}=0?
Så P(Z=2)=P(X=0,Y=1)+P(X=2,Y=0)?
stämmer bra (detta nämndes redan i #4)
Varför är P{(X,Y)=(0,1) och (X,Y)=(2,0)}=0?
Låt mig försöka åskådliggöra detta. Säg att man har två tiosidiga rättvisa tärningar, en röd och en blå:
- Man kastar den röda tärningen 10 gånger. Stokastiska variabeln anger i hur många av kasten man fick en 6:a.
- Man kastar den blåa tärningen 5 gånger. Stokastiska variabeln anger i hur många av kasten man fick en 6:a.
Likheten innebär att man:
- aldrig fått en 6:a på den röda tärningen och
- en gång fått en 6:a på den blåa tärningen.
Likheten innebär att man:
- två gånger fått en 6:a på den röda tärningen och
- aldrig fått en 6:a på den blåa tärningen.
Ser du att påståendena och inte kan vara sanna samtidigt? Då är P(båda två är sanna samtidigt) = 0.
Ja jag ser att båda (X,Y)=(0,1) och (X,Y)=(2,0) inte kan vara sanna samtidigt. Men är dessa utfall beroende av varandra?
Om det ena utesluter det andra, så kan händelserna inte vara oberoende.
LuMa07 skrev:Om det ena utesluter det andra, så kan händelserna inte vara oberoende.
Vad menar du?
destiny99 skrev:LuMa07 skrev:Om det ena utesluter det andra, så kan händelserna inte vara oberoende.
Vad menar du?
I sin enklaste form kan vi betrakta händelsen A och dess komplement A*
A utesluter A* (och A* utesluter A), men de är inte oberoende, A och A* är i hög grad beroende.
Lite slarvigt förklarat så betyder oberoende i statistik att om du vet något om den ena, så vet du fortfarande inget om den andra. Så om två händelser är disjunkta, och du vet att den ena är sann, då vet du säkert att den andra inte kan vara det, du har indirekt info om andra, alltså finns ett beroende.
Micimacko skrev:Lite slarvigt förklarat så betyder oberoende i statistik att om du vet något om den ena, så vet du fortfarande inget om den andra. Så om två händelser är disjunkta, och du vet att den ena är sann, då vet du säkert att den andra inte kan vara det, du har indirekt info om andra, alltså finns ett beroende.
Hm jag förstår inte logiken hur det kan vara ett beroende. För oberoende säger man att om man vet något om den ena så vet man inget om den andra och den ena inträffar ändå oavsett om den andra inträffar eller inte så den beror ej av den andra händelse och den andra händelse är inte heller beroende av att X inträffar, men för beroende är det väl så att om en händelse som vet något om är sann så är den beroende av om den andra händelse är sann eller ej för att båda kan inte ske samtidigt eftersom det gör det för oberoende händelser. Vet ej om jag tänker rätt?
Två grundläggande förutsättningar i talet:
1. X och Y oberoende, dvs ett utfall av X påverkar inte Y osv. Dvs P(X,Y)=P(X)*P(Y) (Grunddefinition)
2. Olika möjliga utfall för Z=X+2Y. Här söks P(Z=2)=P(X+2Y=2). Som konstaterats ovan kan det bara ske på 2 uteslutande sätt (#11):
Antingen X=2,Y=0 eller X=0,Y=1
Dvs P(Z=2)=P(X=2,Y=0) + P(X=0,Y=1) oberoendet medför att P(Z=2)= P(X=2)P(Y=0)+P(X=0)P(Y=1)
Beräkningen gjord ovan i #12
Trinity2 skrev:destiny99 skrev:LuMa07 skrev:Om det ena utesluter det andra, så kan händelserna inte vara oberoende.
Vad menar du?
I sin enklaste form kan vi betrakta händelsen A och dess komplement A*
A utesluter A* (och A* utesluter A), men de är inte oberoende, A och A* är i hög grad beroende.
När du säger att A utesluter A* , menar du att A och A* är beroende av varandra? Dvs om A är sann och inträffar påverkar det också A* om denne är sann och inträffar.
destiny99 skrev:Trinity2 skrev:destiny99 skrev:LuMa07 skrev:Om det ena utesluter det andra, så kan händelserna inte vara oberoende.
Vad menar du?
I sin enklaste form kan vi betrakta händelsen A och dess komplement A*
A utesluter A* (och A* utesluter A), men de är inte oberoende, A och A* är i hög grad beroende.
När du säger att A utesluter A* , menar du att A och A* är beroende av varandra? Dvs om A är sann och inträffar påverkar det också A* om denne är sann och inträffar.
A = Du går på bio
A* = Du går inte på bio
A* ger sig direkt om du vet A (A sann => A* falsk) och vice versa.
De är beroende.
Trinity2 skrev:destiny99 skrev:Trinity2 skrev:destiny99 skrev:LuMa07 skrev:Om det ena utesluter det andra, så kan händelserna inte vara oberoende.
Vad menar du?
I sin enklaste form kan vi betrakta händelsen A och dess komplement A*
A utesluter A* (och A* utesluter A), men de är inte oberoende, A och A* är i hög grad beroende.
När du säger att A utesluter A* , menar du att A och A* är beroende av varandra? Dvs om A är sann och inträffar påverkar det också A* om denne är sann och inträffar.
A = Du går på bio
A* = Du går inte på bio
A* ger sig direkt om du vet A (A sann => A* falsk) och vice versa.
De är beroende.
Ah ok så om A är sann så är A*falsk och då beror A* av A och tvärtom?




