Beräkna planetens jämviktstemperatur

Jag får att planetens jämviktstemperatur är 61 °C eller 334 K, men facit menar att temperaturen är -24 °C eller 249 K.
Avståndet från stjärnan till planeten räknade jag ut till 8,14×10^9 m med hjälp av Keplers tredje lag och omloppstiden är 13,2 dygn.
Var har jag gjort fel?

Partykoalan skrev:Avståndet från stjärnan till planeten räknade jag ut [...] med hjälp av Keplers tredje lag
Hur då?
Såhär gjorde jag: Stort M är stjärnans vikt som är 12,3 % av solens vikt och lilla m är planetens vikt som förkortas bort. Omloppstiden är 13,2 dygn som i sekunder blir 1,14 × 10^6 s.

Ok, det är inte Keplers tredje lag (som handlar om planetbanor i ett system). Men man kan nog använda den med förhållandet av stjärnmassan med solens massa.
Avståndet 0,05 A.U. känns litet (men jag har inte kontrollräknat).
Har du tid att göra det?
Jag skulle uppskatta det eftersom jag har suttit flera timmar nu utan att komma vidare? Kan inte sätta finger på var jag har hamnat snett vid temperaturberäkning på planetens yta.
En snabbuppskattning:
T2/r3 är samma för alla planeter i vårt solsystem.
För en planet kring en stjärna med 12,5 % av solens massa är förhållandet 8 gånger större.
Planetens period är typ 30 gånger kortare än jordens. Så kan du nog få banradien i AU.
Jag gjorde så och resultatet blir detsamma, alltså 0,05 AU eller 8,14×10^9 m.

Jag kan inte hitta felet någonstans. Stämmer dina uträkningar för temperaturen på planetens yta med mina?
Partykoalan skrev:Stämmer dina uträkningar för temperaturen på planetens yta med mina?
Jag skulle även det göra med förhållanden. Stjärnans radie, banradie.
Och så finns det nog faktorer två och pi.
Stjärnans radie är 14,1 % av solens radie. Då är stjärnans area = 4×pi×(0,141×6,960×10^8)^2= 1, 19×10^17 m^2.
Stjärnans utstrålade effekt är denna area gånger Stefan-Boltzmanns konstant gånger stjärnans temperatur (3042 K) vid ytan upphöjt till 4.
Det ger effekten 5,88×10^23 W.
Stjärnan strålar ut sfäriskt och vid planeten som är 8,14×10^9 m bort är arean 4×pi×(8,14×10^9)^2 m^2. Stjärnans utstrålade intensitet är då 705,7 W/m^2 på planeten.
Planetens emittans är lika stor och det ger temperaturen T= 334 K eller 61 °C.
Stjärnan strålar ju ut sfäriskt så då borde temperaturen stämma. Har du några förslag på hur jag ytterligare kan kontrollera om jag gjort fel?
Om planeten bestrålas från alla sidor av en yta med stjärnans temperatur blir det samma temperatur.
Om den ytan är 104 gånger mindre, blir planetens temperatur 10 gånger mindre än stjärnans.
På så sätt blir det lättare att räkna. I princip, men jag orkar inte nu.
Okej. Jag försöker förstå hur de har tänkt här, men kan inte fatta varför stjärnans area beskrivs som en cirkel? Det verkar ju inte rimligt.

Partykoalan skrev:Okej. Jag försöker förstå hur de har tänkt här, men kan inte fatta varför stjärnans area beskrivs som en cirkel? Det verkar ju inte rimligt.
Samma som för oss. På himlen finns (i alla fall på vissa dagar) en cirkelskiva med en diameter på ungefär en halv grad eller 0,01 radian som glöder med en temperatur på 6000 grader.
Det är då en rymdvinkel på steradian som strålar, av totala 4π steradian som strålar ut.
Den fjärde roten ur förhållandet ger förhållandet mellan solens temperatur och jordens (eller månens) medeltemperatur. Även det blir ungefär 250 kelvin.

Jag blev lite fundersam varför de i så fall i denna uppgift inte räknar solens area som en cirkelskiva, utan som en sfär när de beräknar jämviktstemperaturen på månen under dagen?
Enligt formelsamlingen är solens radie 6,960×10^8 m och temperaturen på ytan är 5800K.

Så jag testade att få fram solens radie genom att utgå att den utstrålade effekten som solen sänder ut vid ytan sprids sfäriskt och fick solens radie vid ytan till 6,95×10^8 m, vilket är 99,9% av radien i formelsamlingen.

Räknar man solens area som en cirkelskiva, får man att medeltemperaturen på månen är 279 K eller 6 °C. Det får jag enligt den information som finns i formelsamlingen.

Om solens area är en cirkelskiva så är den utstrålade effekten 9,77×10^25 W på solytan.
Att effekten sprids sfäriskt innebär en emittans på 345,4 W/m^2 vid jämvikt på månens yta.
Det verkar som att solens (stjärnans) area beräknas som en cirkelskiva när man beräknar den genomsnittliga temperaturen på en planet överlag, alltså oavsett om det är dag eller natt (här månen).
Vill man beräkna den genomsnittliga temperaturen vid strålningsjämvikt på dagen så räknar man solens (stjärnans) area som en sfär.
Någon som kan bekräfta detta?
Man kan räkna på olika sätt, från olika perspektiv.
Om man ställer sig på jorden eller på månen, upptar solen en skiva med diameter en halv grad eller 0,01 radian, alltså en rymdvinkel på steradian. Hela himlen är steradian.
Så jordens eller månens medeltemperatur blir
Det funkar ungefär för månen, bara att utstrålningen blir så olika stark på dagsidan och nattsidan.
För jorden finns en stor effekt av molnens reflektivitet (albedo) om man mäter utifrån och av växthuseffekt om man mäter vid ytan.
Så det duger bra med en grov uträkning.
Okej, då är vi överens om det.
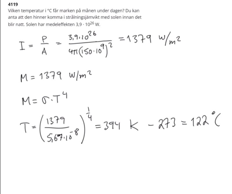
Men om man ska beräkna jämviktstemperaturen på en planet i ett solsystem under dagen då stjärnan belyser det så utgår man då från stjärnans sfärarea som referens för utsrålad effekt vid planetens yta, som i inlägg 13 där jämviktstemperaturen på månen under dagen var 394 K eller 122 °C.
Om du tar en snabb titt på inlägg 1 igen så kommer du att märka att jag utan att veta det har råkat beräkna jämviktstemperaturen på planeten under dagen då stjärnan Proxima Centauri belyser det, precis som det har gjorts med månen i inlägg 13.
Genom att använda Proxima Centauris sfärarea som referens för utsrålad effekt så fick jag att jämviktstemperaturen på planeten under dagen var 334 K eller 61 °C längst ner i bilden i inlägg 1.
Det verkar också rimligt att temperaturen på planeten under dagen är 334 K eller 61 °C vid strålningsjämvikt i inlägg 1 eftersom avståndet är 0,05 AU och då talar vi om ganska små svstånd till stjärnan Proxima Centauri, men dels också därför att själva stjärnan är mycket mindre än solen, dvs. dess radie är endast 14,1 % av solens och massan 12,3 %.
Partykoalan skrev:jämviktstemperaturen på planeten under dagen
Ja, om planeten alltid har samma sida mot stjärnan (det är rimligt för korta banradier) kan man räkna så för temperaturen vid ekvatorn.
Tack för hjälpen!