2
svar
83
visningar
solaris behöver inte mer hjälp
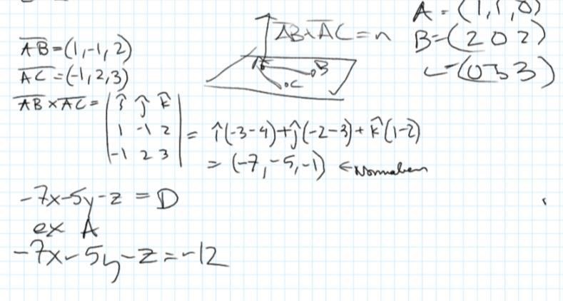
beräkna planets ekv mha 3 punkter i planet
Hej jag har en uppgift då man skall beräkna ekv för ett plan då vi vet att den går igenom punkterna A B och C. Jag tycker jag har gjort rätt men får fel. Facits normal är (7 5 -1)
z-komponenten skall bli och så har facit valt att vända på hela normalen, så att den pekar åt andra hållet.
Determinanten ser rätt ut, men då borde det bli (2-1) gånger k.