3
svar
128
visningar
Beräkna resultanten samt vinkel
Jag har en fråga som lyder:

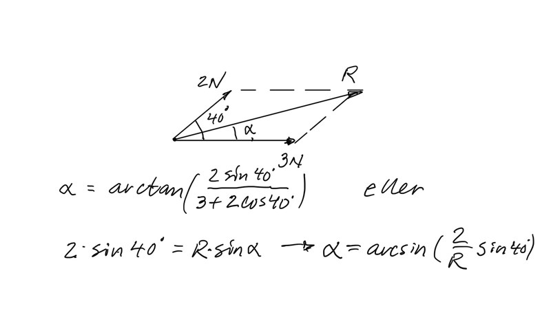
Två krafter med beloppen 2 N respektive 3 N bildar vinkeln 40 grader med varandra. Beräkna beloppet av resultanten, samt vinkeln mellan resultanten och den större kraften.
Jag har försökt klura ut att hitta vinkeln men lyckas inte komma fram till det svaret som finns i facit. Jag har försökt på flera olika sätt att jag är osäker på hur jag ens ska börja.
Har du provat sinussatsen?
Laguna skrev:Har du provat sinussatsen?
Har testat detta och med andra siffror men får inte rätt svar.
Edit:
Jag trodde att jag skulle använda den stora kraften, men jag fick rätt svar när jag använde den lilla.
Är det jag som tänker fel?
Nej. Det verkar helt OK.