2
svar
77
visningar
Nichrome behöver inte mer hjälp
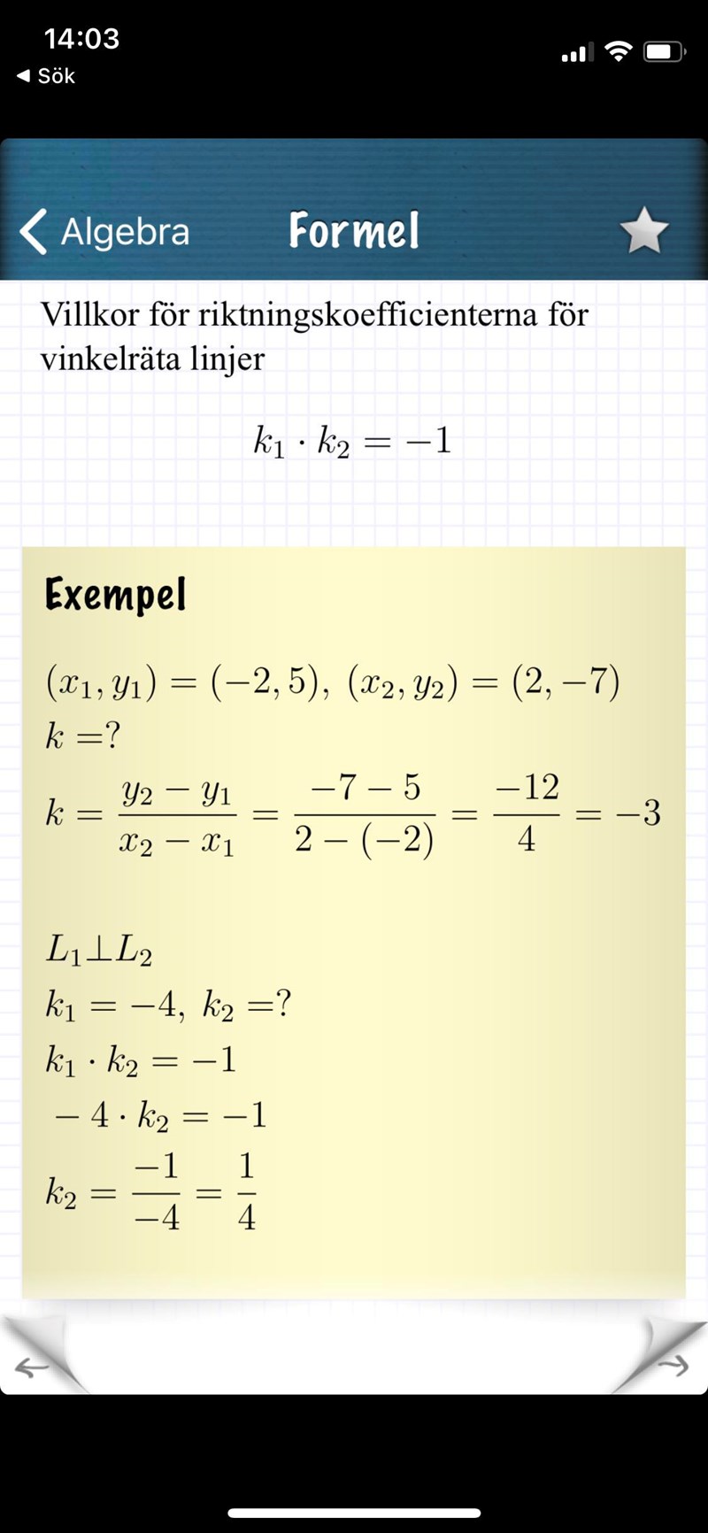
Beräkna riktningskoefficienten
Beräkna riktningskoefficienten för en linje som är vinkelrät mot linjen y = 4x - 2
jag förstår inte riktigt hur jag ska beräkna riktningskoefficienten eller k värdet, kan jag bara rita en rak linje y = x eller jag vet inte vad de menar
Två räta linjer och är vinkelräta om .
