Beräkna rotationskroppens volym
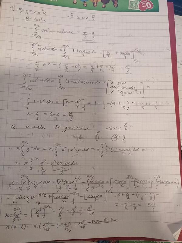
Hej! Jag försöker lösa uppgift b) men förstår inte vad jag gör fel?:( De har använt skalmetoden men visst ska man alltid kunna välja mellan skiv-eller skalmetoden? Så hör ser uppgiften ut:

Och så här har jag försökt göra:

Och så hör har de gjort i facit:

Tack på förhand!
Den volym du beräknar är inte den som efterfrågas.
Har du gjort en skiss över området och visualiserat hur rotationskroppen ser ut?
- Om ja, visa den.
- Om nej, gör det och visa den.
jag vet inte hur kurvan ser ut när den är y = xsin2x sp vet inte hur jag ska rita upp den:(?
Jag vill påstå att det inte är någon idé att ge sig på att lösa uppgifter rörande volymberäkning av rotationskroppar utan att först göra åtminstone en grov skiss av området som roteras och hur det roteras.
Risken att tänka fel är alldeles för stor.
De "formler" man lär sig för sådana beräkningar är endast tillämpliga i vissa specialfall.
Ta hjälp av något digitalt verktyg typ Desmos, Geogebra, Google eller en grafräknare.
Ta en bild och lägg upp här.
När jag ritar upp den blir det tydligare (vänligen se bilden nedan) men jag vet inte hur jag skulle kunna gjort det utan att se grafen på desmos:( på tentan är digitala verktyg och miniräknare inte tillåtna.

Att skissa för hand:
- Använd nollproduktmetoden för att hitta funktionens nollställen för
- Markera dessa.
- Ta reda på om funktionen är positiv eller negativ mellan dessa nollställen.
- Rita godtycklig kurva mellan nollställena, baserat på ovanstående.
Det behöver inte vara mer än så.