3
svar
131
visningar
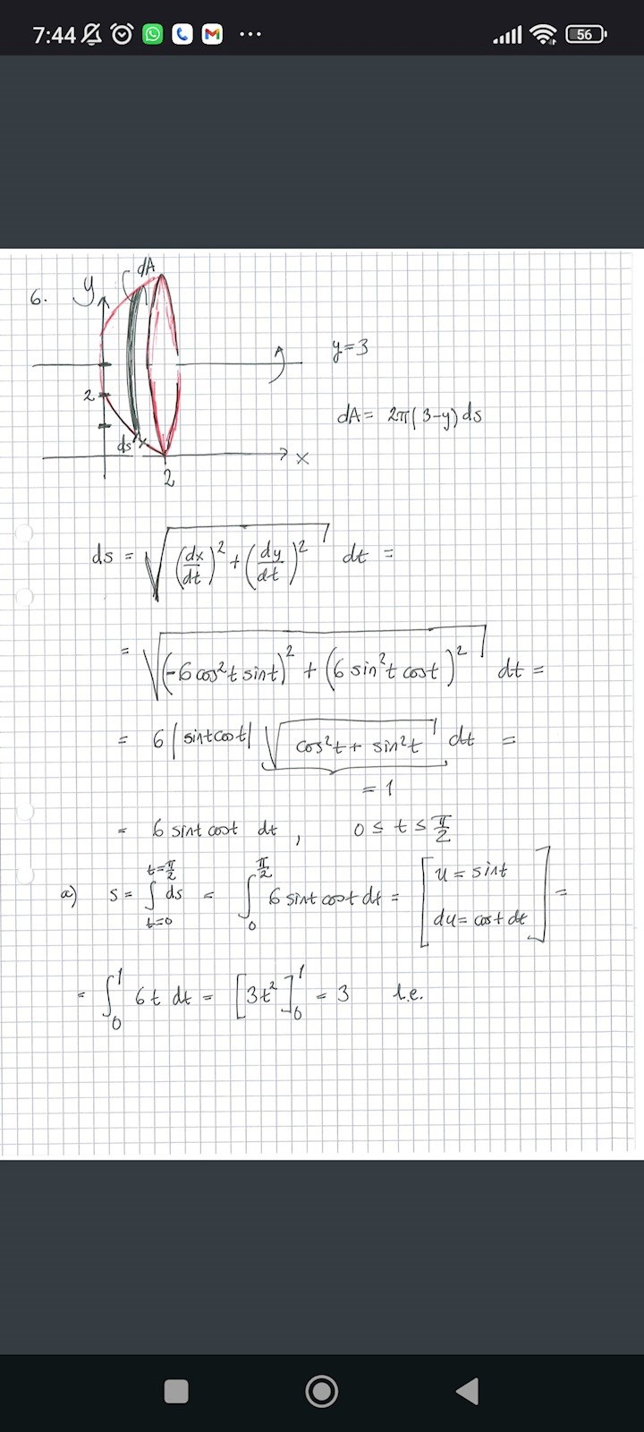
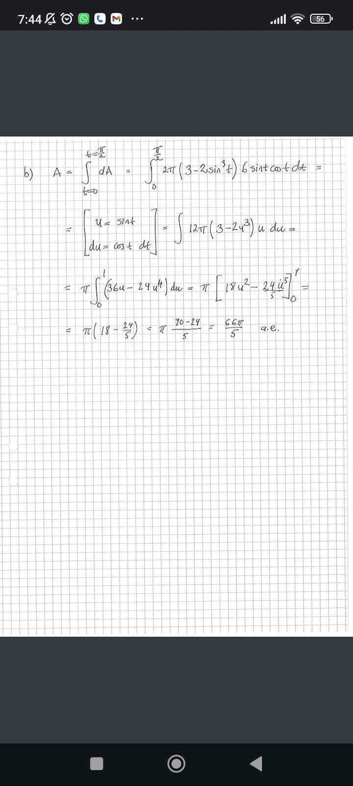
Beräkna rotationsvolymen, Radien?
Hej! Jag försöker lösa den här uppgiften från en gammal tenta men förstår inte i 6b) hur de får fram att radien till cirkeln är 3-2sin^3t?



Tack på förhand!
Vi behöver formeln för en rotationsarea. Hur lyder den?
är skillnaden mellan kurvans y-värde och y-värdet på den linje som kurvan skall rotera kring.
Ah okej tack! Nu tror jag att jag förstår:)
Formeln för rotationsarean borde vara 2πr?
