beräkna sin105° exakt
vart kan jag läsa mer om hur man går tillväga?
Tricket med dessa typer av frågor är att skriva om vinkeln som en summa eller differans av två andra vinklar som vi vet sin och cos av. I det här fallet exempel så kan vi skriva om 105 som 90+15, men vi vet ju vad sin/cos(90 grader) och sin/cos(15 grader) är exakt, så vi använder oss av additionsformlerna, en av de är:
Det finns förstås en formelsamling för vad sin och cos för dessa vinklar är, sedan får du välja själv om det är enklare att räkna i grader eller radianer. 15 grad = pi/12 och 90 grad = pi/2.
MathematicsDEF skrev:Tricket med dessa typer av frågor är att skriva om vinkeln som en summa eller differans av två andra vinklar som vi vet sin och cos av. I det här fallet exempel så kan vi skriva om 105 som 90+15, men vi vet ju vad sin/cos(90 grader) och sin/cos(15 grader) är exakt, så vi använder oss av additionsformlerna, en av de är:
Det finns förstås en formelsamling för vad sin och cos för dessa vinklar är, sedan får du välja själv om det är enklare att räkna i grader eller radianer. 15 grad = pi/12 och 90 grad = pi/2.
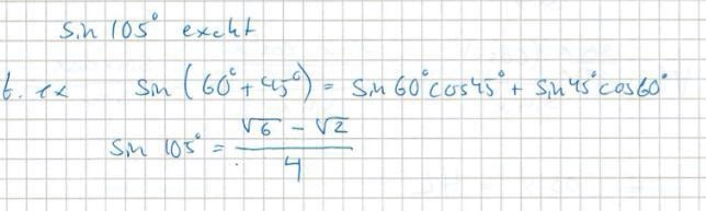
ska man inte ta sin60°+sin45°=sin105°? jag förstår inte varför man tar sin*cos sen förstår jag inte vart dom fin rot6-rot2/4 ifrån?
Rita upp enhetscirkeln och vinkeln i fråga. Ser du att vinkeln 105o är spegelbilden (i y-axeln) av vinkeln 45o? De vinkeln känner du till ett exakt värde för, eller hur?
EDIT: Oj, det var 135o jag tänkte på.
mattegeni1 skrev:MathematicsDEF skrev:Tricket med dessa typer av frågor är att skriva om vinkeln som en summa eller differans av två andra vinklar som vi vet sin och cos av. I det här fallet exempel så kan vi skriva om 105 som 90+15, men vi vet ju vad sin/cos(90 grader) och sin/cos(15 grader) är exakt, så vi använder oss av additionsformlerna, en av de är:
Det finns förstås en formelsamling för vad sin och cos för dessa vinklar är, sedan får du välja själv om det är enklare att räkna i grader eller radianer. 15 grad = pi/12 och 90 grad = pi/2.
ska man inte ta sin60°+sin45°=sin105°? jag förstår inte varför man tar sin*cos sen förstår jag inte vart dom fin rot6-rot2/4 ifrån?
Jag tänkte lite fel, just 15 grader är inte något vi vet svaret på exakt. Men i alla fall sin(x+y) är inte detsamma som sin(x)+sin(y). Sin, cos, tan osv är funktioner på samma sätt som ln(x), sqrt(x) osv är. Just där så valde de att skriva om det som 60+45 vilket också förstås är 105 och funkar helt perfekt, men det finns många sätt att göra det på. Huvudsaken är att man skriver om vinkeln som två andra vinklar som vi vet sin och cos av, vi kan kalla det för standardvinklar. Det finns några vinklar som vi vet cos och sin av exakt, exempelvis 30, 45, 90, 120, 135, 150, 180 osv. sin(30 grader) exempelvis är exakt 1/2. Så man kombinerar dessa vinklar på ett sådant sätt att man får den vinkeln man började med.
Man kan absolut bevisa additionsformlerna om man är fundersam vart de kommer ifrån, men just nu kanske det är bäst att bara veta att om man har sin av två vinklar som adderas så är det samma sak som att ta sin av ena vinkeln och multiplicera det men cos av andra vinkeln, och sedan addera samma sak fast med ombytta vinklar. dvs sin(u+v)=sin(u)cos(v)+cos(u)sin(v). Det finns liknande formler fast för cos(u+v), sin(u-v) och cos(u-v).
Utanför cirkeln på bilden nedan så finns det koordinater (x,y) som är svaret på cos och sin av just den vinkeln, exempelvis sin(pi/6)=sin(30 grader)=1/2. Eller cos(pi/4)=cos(45 grader)=sqrt(2)/2. Här är x-axeln cos och y-axeln är sin.

Smaragdalena skrev:Rita upp enhetscirkeln och vinkeln i fråga. Ser du att vinkeln 105o är spegelbilden (i y-axeln) av vinkeln 45o? De vinkeln känner du till ett exakt värde för, eller hur?
jag förstår inte vart rot6-rot2/4 kommer ifrån?
Jag tänkte fel (tänkte på 135 grader...) men du kan ha nytta av att 105 = 45+60 så du kan använda dig av additionsformeln för sinus.