2
svar
158
visningar
Shanan behöver inte mer hjälp
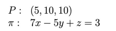
Beräkna spegelpunkt mh.a. projektionsformeln


Tänkte först skriva vad jag har kommit fram till atm.
Projektionsformeln:
För att "nå" spegelpunkten så är det som gäller har jag tänkt.
Har jag tänkt rätt med hur man räknar ut spegelpunkten?
btw, behöver inte hjälp med skärningspunkten eller arean.
Jo, men speglar du inte i fel plan? Du skulle väl spegla i planet x - z = 0.
Korrekt, tänkte fel samt att mitt var också fel. Uppgiften är nu löst. Tack!