1
svar
51
visningar
Beräkna standardavvikelsen


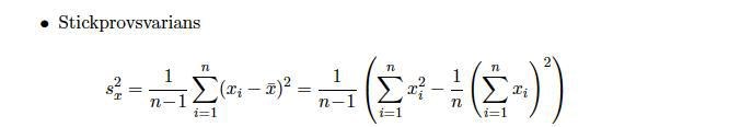
hur har de beräknat Szz ???
jag sätter in den i formeln :

fast z istället för x, där z=differenserna då, får då :
(ibland har jag för mig att wolfram alpha inte får med alla tecken, så de är iallfall sqrt{1/7((0.4^2+0.5^2+0.6^2+0.6^2+0.9^2+1+0.4^2-0.1^2)-1/8(0.4+0.5+0.6+0.6+0.9+1+0.4-0.1)^2

eller så då...
jag får inte rätt.. :( fattar inte vad som är fel
Tre fel:
- Du har tagit roten ur variansen, och alltså beräknat standardavvikelsen
- Du har skrivit av mätvärdena fel, det näst sista är 0.3 och inte 0.4
- När du kvadrerar -0.1 så måste minustecknet vara med i kvadraten, (-0.1)² är inte -(0.1²)
Rättar du de tre felen får du rätt svar.