2
svar
143
visningar
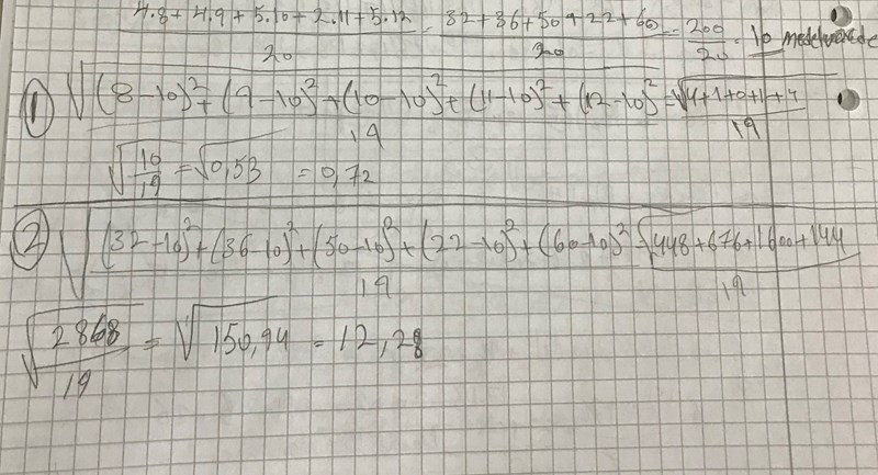
Beräkna standardavvikelsen!
Hej !
Medelvärdet blir 10. Men standardavvikelsen blir fel.
Jag har försökt på två sätt men det är fel.
tack för hjälpen!

Försök med .
(Eller nämnaren 20, jag vet inte vilken det ska vara här.)
Laguna skrev:Försök med .
(Eller nämnaren 20, jag vet inte vilken det ska vara här.)
Tack ! jag förstår nu och har löst :)