1
svar
86
visningar
Beräkna ström i växelströmsschema
Jag har uppgiften:

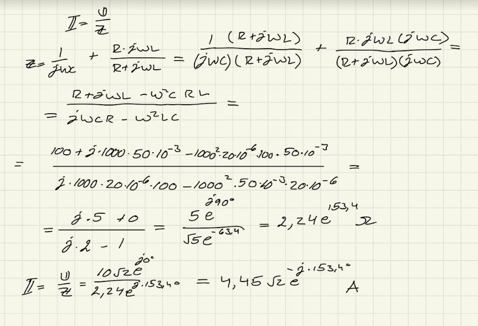
Men jag får inte till det när jag ska räkna ut strömmen:

Men svaret ska bli 
Förutom en faktor -10 verkar det vara samma.