2
svar
122
visningar
Na5a behöver inte mer hjälp
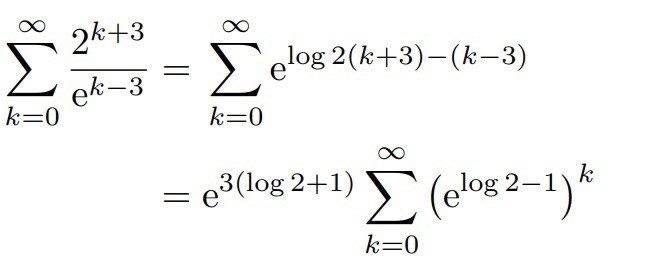
Beräkna summan
Varför blir exponenten 3log(2-1) i den andra raden?

Är du med?
Tack!