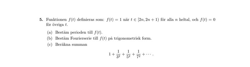
Beräkna summan
Förstår inte alls hur summan beräknades. "Så är summan ". Hur?


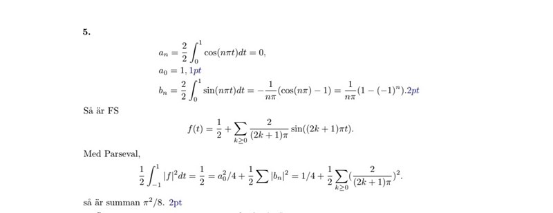
En blind leder en blind här, men det sista summauttrycket är ju den sökta summan (kalla den S) gånger (2/ pi)2.
Så vi har 1/2 = 1/4 + (1/2) 4S/pi2
det ger 1/4 = 2S/pi2 och S = pi2/8
Jag använde för länge sedan Fourier för att visa Summa(1/k2) = pi2/6, men minns inte att det var så här krångligt. Jag hörde långt senare ett föredrag där man använde summan för att beräkna sannolikheten att två slumpvis valda heltal har en gemensam faktor. Weird.
Och häftigt att man kommer åt summan med sin och cos. Jag undrar om inte 3blue1brown har en youtubefilm om det.
Marilyn skrev:En blind leder en blind här, men det sista summauttrycket är ju den sökta summan (kalla den S) gånger (2/ pi)2.
Så vi har 1/2 = 1/4 + (1/2) 4S/pi2
det ger 1/4 = 2S/pi2 och S = pi2/8
Jag använde för länge sedan Fourier för att visa Summa(1/k2) = pi2/6, men minns inte att det var så här krångligt. Jag hörde långt senare ett föredrag där man använde summan för att beräkna sannolikheten att två slumpvis valda heltal har en gemensam faktor. Weird.
Och häftigt att man kommer åt summan med sin och cos. Jag undrar om inte 3blue1brown har en youtubefilm om det.
Hmm, hänge inte med riktigt!