Beräkna summan av M
Hej, läser fysik i norge så det kommer inte vara exakt samma symboler som ni är vana vid men hoppas ni kan hjälpa mig ändå.

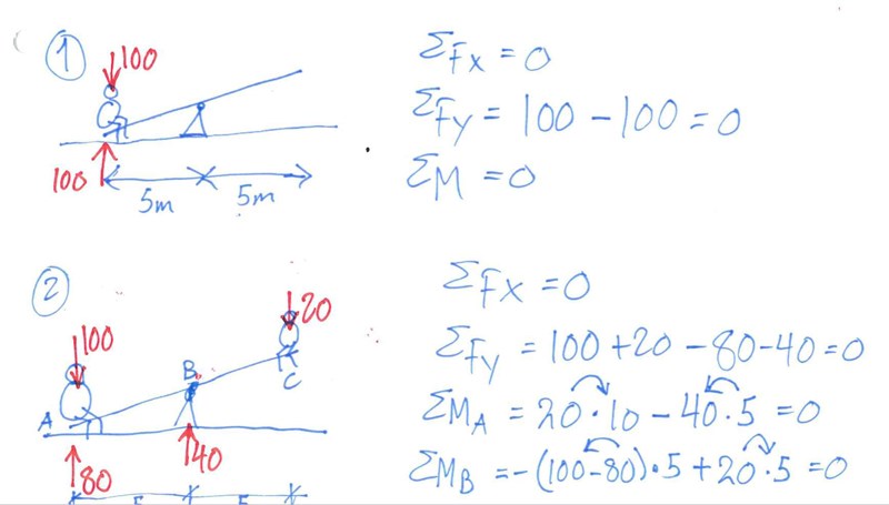
Det är uppg 2 som jag sliter lite med. Det är när jag ska räkna ut den samt , jag vet att jag ska räkna kraft*arm, och jag ser var jag finner all info jag behöver men får inte riktigt ihop hur jag tänker.
Är det på att jag tar barnets vikt(kraften)*längden(arm)-punkt B*längden -> (20kg*10m)-(40*5)?
Eller tänker jag helt fel?
Tack för hjälpen, Klara
Vad är frågan? Skriv av uppgiften ord för ord eller lägg in en bild. Vi som svarar här är bra på fysik, men dåliga på tankeläsning.
Vad läraren har gjort när han räknar ut ”Ma”, hur han tänker
Ingen aning, det är för lite info. Vi är inte tankeläsare.
Vad är det för "100" som är markerat med rött i bild 1?
Vad är det för röda siffror i bild 2? Jag ser att summan av "uppåt-pilarna" är lika med summan av "neråt-pilarna".
Av siffrorna att döma är lika med summan av vridmomenten med avseende på punkten A (där den tunga gubben sitter) och lika med summan av vridmomenten med avseende på punkten B, där gungbrädan vilar mot bocken i mitten.
Det skulle ha varit mycket lättare om du hade skrivit av uppgiften också, inte bara lösningen - åtionstone när du blev ombedd att göra detta!
Klarafardiga skrev:Är det på att jag tar barnets vikt(kraften)*längden(arm)-punkt B*längden -> (20kg*10m)-(40*5)?
Eller tänker jag helt fel?
Hej Klara, du verkar tänka rätt. Momentet medurs runt punkten A ska innehålla alla krafter som vill vrida runt A. Det betyder att krafter som verkar rakt genom A inte räknas med, de vill ju inte vrida runt A. Exempel på krafter som går rakt genom A är 100 och 80, de har ju ingen hävarm mot A!
De krafter som vill vrida runt A är barnets tyngd och kraften från stödet vid B.
Barnets tyngd vill vrida medurs runt A (samma håll som klockan snurrar). Det vinkelräta avståndet mellan kraftens verkningslinje och A är 5m+5m = 10m. Alltså . Tekniskt sett anger man moment i Nm. För att det ska bli ett riktigt moment borde du multiplicera med tyngdaccelerationen g, även i Norge. Ett annat alternativ är att vi tolkar barnets vikt som 2kg och att kraften är 20N, alltså ett underutvecklat foster. I alla händelser verkar din lärare ha knarkat bort enhetsanalysen.
Stödet vid B vill vrida moturs runt A (motsatt håll mot klockan). Det vinkelräta avståndet mellan kraftens verkningslinje och A är 5m. Alltså . Det blir ett minustecken eftersom stödet vid B vrider moturs. Återigen är det oklart om vi ska tolka 40 som 40kg eller 40N.
Lägger vi ihop det får vi momentet medurs kring A som (med moment medurs kring A menar vi att vi räknar moment som vrider medurs positiva och moturs negativa)
Återigen borde ni egentligen multiplicera med g. I fysik är det viktigt att skilja på massa och tyngd.
Haha, jag får be om ursäkt på min lärares vägnar!
Tack då förstår jag mycket bättre! :)