Beräkna syrakonstant
Fråga:
”Man ville bestämma koncentrationen ättiksyra i en lösning och titrerade därför 10,00 cm3 av
syralösning med NaOH-lösning vars koncentration var 0,25mol/dm3. För att nå ekvivalens-
punkten behövdes 15 cm3 NAOH-lösning. Beräkna ättiksyrans koncentration.”
Mina uträkningar är som följer:
Rätt svar är dock:

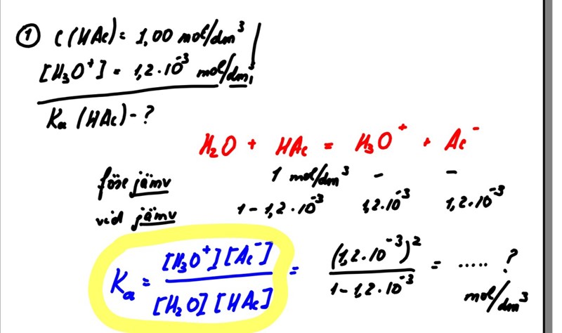
Vart kommer ”1-1,2*10^-3” ifrån? Tänker jag fel?
Ser du att det står totalkoncentration och inte koncentration för HA, kan det ha något med saken att göra?
Om det handlar om att beräkna koncentrationen för ättiksyran så är beräkningarna
nHAc = nNaOH, nNaOH = cNaOHvNaOH = 0,25 mol/dm3.0,015dm3 = 0,00375 mol
cHAc = nHAc/vHAc = 0,00375 mol/0,010 dm3 = 0,375 mol/dm3.
Det ser mer ut som om både du och facit räknar på Ka-värdet (som även antyds av rubriken). Syrakonstanten Ka är något som känns väldigt abstrakt för mig, men det är lättare att föreställa sig vad pKa är: Det är det pH-värde när koncentrationen av syraformen och basformen är lika. Om pH är lägre än detta, finns det mer av syraformen HA, är lösningen mer basisk finns det mer av basformen A-. När man har tillsatt precis hälften så mycket bas som det behövs för att komma till ekvivalenspunkten, så är pH för lösningen lika med pKa för syran. Det står i facitlösningen att oxoniumjonkoncentrationen är 1,2.10-2 mol/dm3, så pH måste ha varit 2,92 vid halvtitrerpunkten, men detta stämmer inte alls med pKa för ättiksyra. Det står också att totalkoncentrationen för ättiksyra skulle vara 1 mol/dm3, och det stämmer inte heller med uppgiften. Är du säker på att detta facit hör ihop med just denna uppgift?