4
svar
311
visningar
astap behöver inte mer hjälp
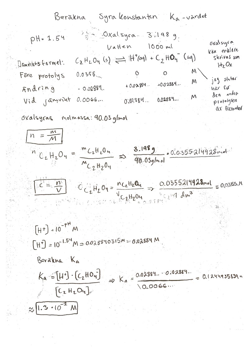
beräkna syrakonstanten för oxalsyra
hej! i den här uppgiften ska jag räkna ut Ka för oxalsyra. ph=1.54, Volym 1000ml = 1dm^3.
hur ser mina beräkningar ut? går dem att följa eller förbättra på något sätt? Det kanske till och med är något som inte stämmer?
tacksam för svar!

Är inte oxalsyra tvåprotonig?
Ser nu att du skriver att den är försumbar, är det givet i frågan?
ja, precis protolys 2 är försumbar och behöver ej räknas med, skulle skrivit det i startinlägget!
Då ser uträkningarna ut att stämma isåfall