Nja, jag skulle tro att de har tänkt att du ska utnyttja att 15 = 60 - 45.
tan(15°) = sin(15°)/cos(15°) = sin(45° - 30°)/cos(45° - 30°).
Använd nu subtraktionsformlerna i både täljaren och nämnaren och byt sedan ut alla cos- och sin-uttryck mot deras exakta värden enligt tabell.
Jag ska prova. Det är svårt veta, hur de har tänkt sig. Jag gör prov på detta Yngve som du nämnde här.
Det är inte riktigt så, vet ej.
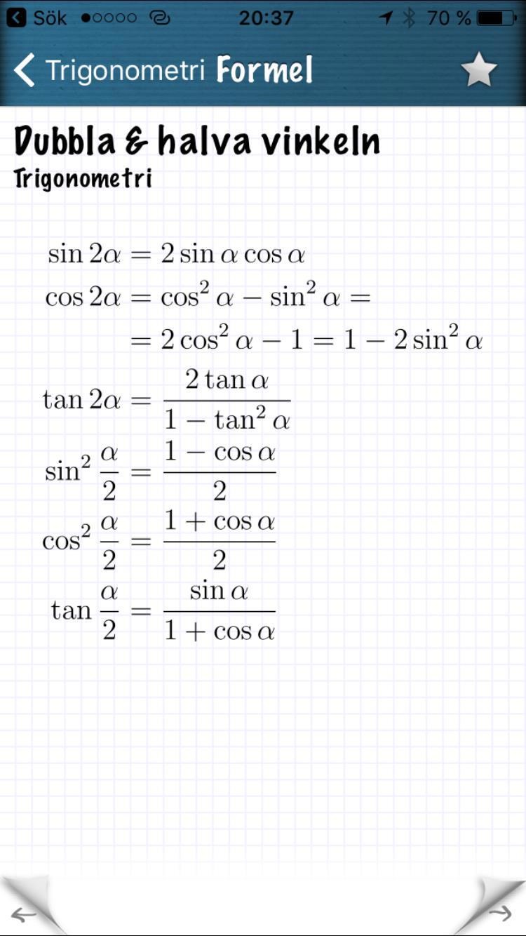
Ett altenativt sätt är att använda formeln för halva vinkeln:
tan(x/2) = sin(x) / (1 + cos(x)) och sätta x = 30 grader.

För sinus verkar du ta (u + v) och för cosinus (u - v).
Enligt boken handlar det inte om dubbla vinkeln.
Det kommer nästa kapitel. Det ska göras på något annat sätt.
Det här handlar om enbart additions och subtraktions formler hela kapitel .
Borde jag ta sin( 60- 45)/ cos (45-30)
och sin(15)/cos(15)
vad tycker ni?
Uttrycken för "dubbla vinkeln" är bara ett specialfall av additionsformeln för vinkeln (u + v) med u = v.
tomast80s lösning är helt klart den smidigaste, men då måste man känna till formeln för tangens för "halva vinkeln".
Det gör inte jag.
Visst funkar det med
tan(15) = sin(60 - 45)/cos(45 - 30)
men det känns "onödigt" att blanda in tre vinklar.
Prova antingen
tan(15) = sin(60 - 45)/cos(60 - 45)
eller
tan(15) = sin(45 - 30)/cos(45 - 30)
Jag ska göra nytt försök. Försöker ha kontroll att jag skriver rätta grader dit.
Det tar lite tid nu.
Rätt svar ska vara 2- roten ur 3
----------------------
något är fel igen. Rätta mig med uppgiften!
tar kort på det som jag har gjort.
Din bild är väldigt suddig och svår att tyda.
Jag ger dig istället här ett förslag på en tydlig lösning som är lätt att följa (alla vinklar är i grader):
Täljaren:
Ersätt alla sinus- och cosinustermer med exakta värden ur tabell:
Nämnaren:
Ersätt alla sinus- och cosinustermer med exakta värden ur tabell:
Nu kan vi bestämma tan(15):
tan(15) = täljaren/nämnaren =
Förläng med nämnarens konjugat, använd kvadreringsregeln på täljaren och konjugatregeln på nämnaren:
Du skriver enkla saker på ett krångligt sätt.
Gör ett steg i taget, som jag har sagt flera gånger:
Börja med sin(45-30). Du vet ju att det är sin(45)*cos(30) - cos(45)*sin(30), eller hur?
EDIT: Yngve hann före. Det har hänt förr också...
Om du vill ha hjälp med att hitta de ställen där du har gjort fel så får du skicka en ny och skarpare bild.
Jag ser till exempel att du blandar in en vinkel v utan att du skriver vad den är och sedan ersätter du sinus för den vinkeln med ett värde. Det blir väldigt förvirrande.
Päivi skrev :
Ditt inlägg ser väldigt konstigt ut i min webläsare.
Nog ser du väl att det ingår en sqrt(2) i bägge termerna, och att det ingår en 1/4 i bägge termerna, en sqrt(3) i första termen och en -1 i andra termen?
Päivi skrev :
Jag antar att du menar denna:
Då skriver jag upp steg för steg vad jag gör.
Steg 1: Multiplicera ihop bråken:
Steg 2: Sätt de båda termerna på gemensamt bråkstreck:
Steg 3: Täljaren innehåller två termer. Båda termerna har en faktor som jag alltså kan bryta ut:
Det här är samma sak som att man kan skriva a*b + a*c som a*(b+c).
Var det svar på din fråga?
Nu förstår jag det hela.
Vad bra, men tror du att du kan skriva ner en uträkning själv på liknande sätt som jag gjorde?
Jag tror nämligen att det är viktigt att du tränar på att skriva uträkningar på ett sätt som andra kan förstå.
Jag ger dig nu därför uppgiften att på liknande sätt som jag gjorde här ovan, beräkna ett exakt värde av tan(75) och visa oss resultatet, så kan vi hjälpa dig med dina formuleringar vid behov.
Antar du utmaningen?
Bra. Det är rätt så långt och dessutom tydligt och bra.
Bara ett par saker: Först är det ett lösryckt uttryck som inte hänger ihop med det andra (inringat i rött) och sedan saknas ett par parenteser på slutet, jag har lagt till dem i blått.

Kan du fortsätta?
Jag ska göra det snart. Jag måste skriva ner det andra först.
Jag är lite sömnig nu. Vi tar det imorgon.
Nu ska jag visa resultatet av det här tan 75grader.
Det är nästan rätt.
- Du har glömt avslutande högerparenteser (blå markering)
- Du har glömt nämnaren (röd markering)
- Du har glömt att förkorta bort tvåan framför rotenur-termen (gul markering)

Tack Yngve! Jag var lite osäker på om kunde förkorta bort tvåan framför rot tecknet
eftersom vi har plus tecknet i täljaren blir det 2+ roten ur tre i den uppgiften tan (75)
tvåan försvinner bort från nämnaren helt.
Tack så mycket för hjälpen Yngve!
När du har det färdiga uttrycket för tan(75 grader) så kan du verifiera att
tan(75 grader) = 1/tan(15 grader)
Kan man "se" direkt att likheten ovan måste gälla?
Päivi skrev :Tack Yngve! Jag var lite osäker på om kunde förkorta bort tvåan framför rot tecknet
eftersom vi har plus tecknet i täljaren blir det 2+ roten ur tre i den uppgiften tan (75)
tvåan försvinner bort från nämnaren helt.
Börja med att bryta ut tvåan ur täljaren så blir det väldigt tydligt att även tvåan framför rottecknet ska förkortas bort. Ta för vana att alltid göra så (bryta ut gemensamma faktorer) tills du blir mer säker på det hela:
, vilket även är svaret.
Bra!
Dr. G skrev :När du har det färdiga uttrycket för tan(75 grader) så kan du verifiera att
tan(75 grader) = 1/tan(15 grader)
Kan man "se" direkt att likheten ovan måste gälla?
Bra där Dr. G!
Det var en extra knorr som jag inte tänkte på i början.
Päivi - Nu får du klura lite på detta. Det innebär inga komplicerade uträkningar och du behöver endast använda grundläggande trigonometriska kunskaper samt ett väldigt användbart tankestöd.
Jag försökte skriva här nyss, men det försvann från mig helt.
Jag vet inte vad Dr. G var ute efter, men jag tänkte på en rätvinklig triangel som har en vinkel som är 15°. Hur stora är då de andra vinklarna?
Om du sedan kallar triangelns ena katet för a och den andra för b, vad får du då för uttryck för tangens för de två spetsiga vinklarna? Och hur förhåller sig dessa uttryck till varandra?
(Egentligen tänkte jag också på enhetscirkeln, men den behövs inte)
Jag begrep inte ens frågan. Jag visste bara att jag hade två tangens uttryck att ta till mig och hur man skulle få av det trig ettan. Så uppfattade jag det hela.
Du ser att man kan miss förstå vad man är ute efter.
Det är inte lätt veta sådant. Nu undrar jag, har det någon betydelse om ena är sin 15 grader. Sedan ska man ta reda på, vad de andra vinklarna är. Är det så du menar?
Yngve föreslår att du tänker dig en rätvinklig triangel där en av vinklarna är 15 grader. Hur stor är då den tredje vinkeln? Om du kallar den ena kateten för a och den andra för b, vad är det då som blir tan 15 grader? Vad är det som blir tan 75 grader? På vilket sätt hänger det ena uttrycket ihop med det andra?
Jag råkade radera av misstag mejlet som jag fick. Jag skulle ta förklara nu detta. Jag hann inte göra detta. Jag återkommer snart.
Det går också att härleda sambandet algebraiskt:
sin(90°-x) = cosx
cos(90°-x) = sinx
tan(90°-x) = sin(90°-x)/cos(90°-x) = ...
Nu får ni vänta, jag återkommer.
Ja det var precis så jag menade Päivi.
Du har kommit fram till att
tan(15°) = a/b
tan(75°) = b/a
Läs nu inlägget från Dr. G igen:
Dr. G skrev:
När du har det färdiga uttrycket för tan(75 grader) så kan du verifiera att
tan(75 grader) = 1/tan(15 grader)
Kan man "se" direkt att likheten ovan måste gälla?
Det är omvänt.
Päivi skrev :Det är omvänt.
Ja. Eftersom b/a = 1/(a/b) så är alltså tan(75°) = 1/tan(15°).
Var det så du menade, Dr. G?
Ja, ungefär så, och man kan se det direkt i en rätvinklig triangel.
tan(90 grader - v) = 1/tan(v)
Hello
You can use the tan (a - b) = tan a - tan b / 1 + tan a tan b
Check how to find tan 15 here
We would need the values of tan at 30 and 45 as well



