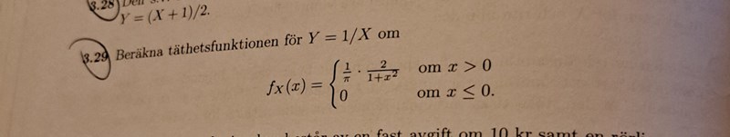
Beräkna täthetsfunktionen för Y=1/X

Hej!
Jag fastnade på denna problem och är osäker på om de söker X=1/Y?
Du definierar en ny variabel Y som ges av 1/X. Har du prövat att använda formeln för variabelbyte?
Gustor skrev:Du definierar en ny variabel Y som ges av 1/X. Har du prövat att använda formeln för variabelbyte?
Vad menar du med att jag ska definiera en ny variabel som heter 1/X? Y=1/X är enligt lydelsen. Vad menar du med formeln för variabelbyte?
Har du en kursbok? Det finns med all sannolikhet en genomgång av variabelbyte/transformation av sannolikhetsfunktioner.
En stokastisk variabel (slumpvariabel) är en funktion , där
är utfallsrummet, och
är någon mätbar mängd, ofta brukar så att
är en funktion från utfallsrummet med värden i .
Låt vara en slumpvariabel.
Om är en funktion (som uppfyller ett visst villkor man lär sig om i senare kurser) så kan vi definiera en ny slumpvariabel genom
, för , eller kort och gott
.
Om t.ex. så skriver vi
.
Det är alltså en slumpvariabel med samma utfallsrum som och som antar värdet om antar värdet .
Gustor skrev:Har du en kursbok? Det finns med all sannolikhet en genomgång av variabelbyte/transformation av sannolikhetsfunktioner.
En stokastisk variabel (slumpvariabel) är en funktion , där
är utfallsrummet, och
är någon mätbar mängd, ofta brukar så att
är en funktion från utfallsrummet med värden i .
Låt vara en slumpvariabel.
Om är en funktion (som uppfyller ett visst villkor man lär sig om i senare kurser) så kan vi definiera en ny slumpvariabel genom
, för , eller kort och gott
.
Om t.ex. så skriver vi
.
Det är alltså en slumpvariabel med samma utfallsrum som och som antar värdet om antar värdet .
Jaha okej. Så vi ska hitta 1/Y?
Vad står det i uppgiften att du ska göra?
Du får täthetsfunktionen för , och du ska bestämma täthetsfunktionen för den nya slumpvariabeln , som de kallar för .
Så vitt jag vet är metoden du behöver formeln för variabelbyte/transformation av slumpvariabler. Har du inte koll på det så ska du nog inte ge dig på denna uppgift än.
Gustor skrev:Du får täthetsfunktionen för , och du ska bestämma täthetsfunktionen för den nya slumpvariabeln , som de kallar för .
Okej , är det något sånt här vi ska göra då? Jag tänker om vi söker slumpvariabeln 1/X så kan man väl bara ta 1/fx(x)? Metoden du menar står i bilden längst nedan ,men det ser jätte krånglig ut. Jag är bara med fram till deriveringen map på y.

är inte en linjär transformation, så den sidan är inte relevant.
är inte bara , det är inte riktigt så enkelt.
Gustor skrev:är inte en linjär transformation, så den sidan är inte relevant.
är inte bara , det är inte riktigt så enkelt.



Aa ok. Om det inte är något av dessa sidor ovan så är det något som inte gåtts igenom än.
Ja, det ser mer aktuellt ut.
Gustor skrev:Ja, det ser mer aktuellt ut.
Vilken av bilderna?
Ingen av dem riktigt, men 1/x är strängt avtagande för x>0 så man kan härleda sannolikhetsfunktionen från fördelningsfunktionen som de är inne på med (3.14). Formeln för strängt avtagande blir dock
(om jag inte är helt ute och cyklar).
Man kan alltså derivera båda led för att få sannolikhetsfunktionen.
Gustor skrev:Ingen av dem riktigt, men 1/x är strängt avtagande för x>0 så man kan härleda sannolikhetsfunktionen från fördelningsfunktionen som de är inne på med (3.14). Formeln för strängt avtagande blir dock
(om jag inte är helt ute och cyklar).
Man kan alltså derivera båda led för att få sannolikhetsfunktionen.
I vårt fall är det 1/X. Men vad är g(y)?
tänker du att vi ska derivera båda led i denna bild? Hur hittar man Fx [g^-1(y)]?

I bilden från din bok är strängt växande. Om är strängt avtagande har vi istället denna situation.
Om är en strängt avtagande funktion och vi definierat en ny slumpvariabel genom , så är
.
Notera att en strängt avtagande funktion är bijektiv på sin värdemängd , så den inversa funktionen existerar på denna begränsning. Om värdemängden är hela så är en bijektion utan ytterligare kvalifikationer.
För exempelvis funktionen på området så finns det en invers, som ges av samma funktion , för .
I detta fall blir ekvationen ovan
.
Deriverar vi båda led får vi att
.
Sätter vi in uttrycket för från den ursprungliga uppgiften får vi att
.
Lustigt nog får täthetsfunktionen för samma form som för .
Tillägg: 27 mar 2025 15:17
Detta är ett sätt att härleda täthetsfunktionen för .
Gustor skrev:I bilden från din bok är strängt växande. Om är strängt avtagande har vi istället denna situation.
Om är en strängt avtagande funktion och vi definierat en ny slumpvariabel genom , så är
.
Notera att en strängt avtagande funktion är bijektiv på sin värdemängd , så den inversa funktionen existerar på denna begränsning. Om värdemängden är hela så är en bijektion utan ytterligare kvalifikationer.
För exempelvis funktionen på området så finns det en invers, som ges av samma funktion , för .
I detta fall blir ekvationen ovan
.
Deriverar vi båda led får vi att
.
Sätter vi in uttrycket för från den ursprungliga uppgiften får vi att
.
Lustigt nog får täthetsfunktionen för samma form som för .
Tillägg: 27 mar 2025 15:17
Detta är ett sätt att härleda täthetsfunktionen för .
det du kom fram till på slutet är rätt svar enligt facit. Så om g är negativ så har vi Fx(y)=1-Fx(g^-1(y))? Men hur vet man om g är strängt avtagande eller växande i detta problem? Är det bara för att vi har 1/pi*(2/(1+x^2)) eller är det för slumpvariabeln är Y=1/X?
Så om g är negativ så har vi Fx(y)=1-Fx(g^-1(y))?
Nej, villkoret är att är strikt avtagande, så att det finns en invers på hela bilden av .
Men hur vet man om g är strängt avtagande eller växande i detta problem?
En funktion är strikt avtagande om
för alla i definitionsmängden.
Funktionen som ges av är strikt avtagande, eftersom
för alla .
Gustor skrev:Så om g är negativ så har vi Fx(y)=1-Fx(g^-1(y))?
Nej, villkoret är att är strikt avtagande, så att det finns en invers på hela bilden av .
Men hur vet man om g är strängt avtagande eller växande i detta problem?
En funktion är strikt avtagande om
för alla i definitionsmängden.
Funktionen som ges av är strikt avtagande, eftersom
för alla .
Okej men g(x)=1/x är en funktion du hittade på då? uppgiften sa bara Y=1/X. Men om du refererar till någon av bilderna jag postat får du gärna säga vilken du menar eller använt dig av.
Var får du just 1-Fx(g^-1(y)) ifrån? En annan sak jag undrar över är denna bild nedan. Var kommer det villkoret ifrån?

Okej men g(x)=1/x är en funktion du hittade på då? uppgiften sa bara Y=1/X. Men om du refererar till någon av bilderna jag postat får du gärna säga vilken du menar eller använt dig av.
Nej, jag hittar inte på något. Se inlägg #4 (eller din kursbok) för definitionen av funktioner av slumpvariabler.
Var får du just 1-Fx(g^-1(y)) ifrån?
Jag vet inte hur värdefullt det är att återge den härledningen här eftersom ni inte gått igenom den, och det inte är säkert att den ens finns i din kursbok.
Men det kan härledas på likande sätt som för .
Gustor skrev:Okej men g(x)=1/x är en funktion du hittade på då? uppgiften sa bara Y=1/X. Men om du refererar till någon av bilderna jag postat får du gärna säga vilken du menar eller använt dig av.
Nej, jag hittar inte på något. Se inlägg #4 (eller din kursbok) för definitionen av funktioner av slumpvariabler.
Var får du just 1-Fx(g^-1(y)) ifrån?
Jag vet inte hur värdefullt det är att återge den härledningen här eftersom ni inte gått igenom den, och det inte är säkert att den ens finns i din kursbok.
Men det kan härledas på likande sätt som för .
Hm tyvärr går inte boken igenom härledningen vilket är faktiskt synd. Denna kursbok är ganska dålig om jag ska vara ärlig som utelämnar härledningar.. Men jag kikar på #4 som du föreslog.
Jag kan skriva ihop något när jag har lite tid om du tror det kan vara till hjälp.