0
svar
253
visningar
Beräkna total deformation mha Boltzmanns Superpositionsprincip

Mitt försök att lösa uppgiften:
Ställer upp Boltzmanns superpositionsprincip och använder tabell samt graf för att läsa av kryptal.
Löser ut x och får
x= -44 kg
vilket inte kan stämma eftersom det i uppgiften står angivet att det tillförs last.
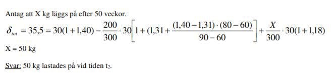
Facit säger såhär:
Det jag inte förstår är uträkningen av kryptalet när 200 kg avlastas, alltså uttrycket inom klammer i facit.
Jättetack på förhand för hjälp!