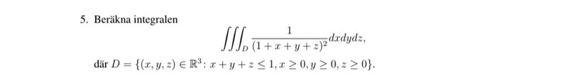
Beräkna trippelintegral
Hej!
Jag undrar varför gränserna för x och y inte är samma dvs att de båda varierar mellan 0 och 1 pga de x>=0,y >=0 För z var det självklart att den varierar mellan 0 till 1-x-y? När jag försökte rita den där området så ser det ut som att det är typ någon tetreader och x>=0,y>=0,z>=0 är första oktanen.

Om jag förstår dig rätt vill du att både x och y ska ha övre gräns 1? Men om både x och y är 1, och samtidigt är z>=0, vad blir x +y+z då? Är du då innanför området?
Hondel skrev:Om jag förstår dig rätt vill du att både x och y ska ha övre gräns 1? Men om både x och y är 1, och samtidigt är z>=0, vad blir x +y+z då? Är du då innanför området?
Ja precis både x och y ska ha övre gräns 1 och undre gräns 0. Hm ja det blir ju isåfall 1+1+0<=1 vilket inte stämmer ty 2 är inte mindre än eller lika med 1. Nej vi är då utanför området. Men tex 0+1+0<=1 så stämmer det ju med villkoret.
Alla punkter inom integrationsområdet MÅSTE uppfylla olikheten .
Om du låter och samtidigt definiera området i - och -ledet, så finns det massa punkter där olikheten EJ gäller. Sådana punkter måste uteslutas från integrationsområdet. (Olikheten är garanterat inte uppfylld ifall då är positivt.)
Du har kommit fram till att . Det måste finnas något uttrymme för i intervallet , vilket innebär att behöver gälla (annars kan inte ligga däremellan)
LuMa07 skrev:Alla punkter inom integrationsområdet MÅSTE uppfylla olikheten .
Om du låter och samtidigt definiera området i - och -ledet, så finns det massa punkter där olikheten EJ gäller. Sådana punkter måste uteslutas från integrationsområdet. (Olikheten är garanterat inte uppfylld ifall då är positivt.)
Du har kommit fram till att . Det måste finnas något uttrymme för i intervallet , vilket innebär att behöver gälla (annars kan inte ligga däremellan)
Ja precis det är sant att en del punkter inte skulle uppfylla kravet för villkoret om både x och y varierar mellan 0 och 1. Jag håller med gällande z. Men isåfall måste antingen x eller y variera tex att y varierar mellan 0 till 1-x och x varierar mellan 0 till 1. Problemet för mig var bara hur jag ska komma på vilken av dem (x eller y ) som varierar mellan 0 till 1 och som varierar mellan 0 till en linje tex 1-x eller liknande för att komma fram till ett integrals värde.
destiny99 skrev:Problemet för mig var bara hur jag ska komma på vilken av dem (x eller y ) som varierar mellan 0 till 1 och som varierar mellan 0 till en linje tex 1-x eller liknande för att komma fram till ett integrals värde.
Du har frihet att välja integrationsordningen och därmed vilken av variablerna x och y som beror på den andra, d.v.s.
och
funkar lika bra
LuMa07 skrev:destiny99 skrev:Problemet för mig var bara hur jag ska komma på vilken av dem (x eller y ) som varierar mellan 0 till 1 och som varierar mellan 0 till en linje tex 1-x eller liknande för att komma fram till ett integrals värde.
Du har frihet att välja integrationsordningen och därmed vilken av variablerna x och y som beror på den andra, d.v.s.
och
funkar lika bra
Ja absolut det är inga problem. Men min fråga är hur man kommer på att tex x eller y varierar till en linje ? Jag var så säker på att båda variablerna varierade mellan 0 och 1 men tänkte inte så långt att det påverkar villkoret x+y+z<=1 tex om x=y=0 funkar det ,men sen om x=y=1 har vi ett problem eller andra random värden som är mellan 0 och 1 om z=0.
LuMa07 skrev:Du har kommit fram till att . Det måste finnas något uttrymme för i intervallet , vilket innebär att behöver gälla (annars kan inte ligga däremellan)
Om man väljer att kommer i mellersta integralen, så...:
Lös ut ur olikheten . Då får du att . Du vet dessutom att , så .
Om ska ligga i intervallet , så måste det finnas utrymme för mellan och och därmed krävs det att . Detta ger att (och det var givet att ).
Sammafattning:
LuMa07 skrev:LuMa07 skrev:Du har kommit fram till att . Det måste finnas något uttrymme för i intervallet , vilket innebär att behöver gälla (annars kan inte ligga däremellan)
Om man väljer att kommer i mellersta integralen, så...:
Lös ut ur olikheten . Då får du att . Du vet dessutom att , så .
Om ska ligga i intervallet , så måste det finnas utrymme för mellan och och därmed krävs det att . Detta ger att (och det var givet att ).
Sammafattning:
Väldigt bra förklarat! Jag förstår nu. Det verkar logiskt! Tips på hur man ska integrera integranden? Funderar på sätta x+y+z=u