2
svar
52
visningar
KlmJan behöver inte mer hjälp
Beräkna utgångsfarten
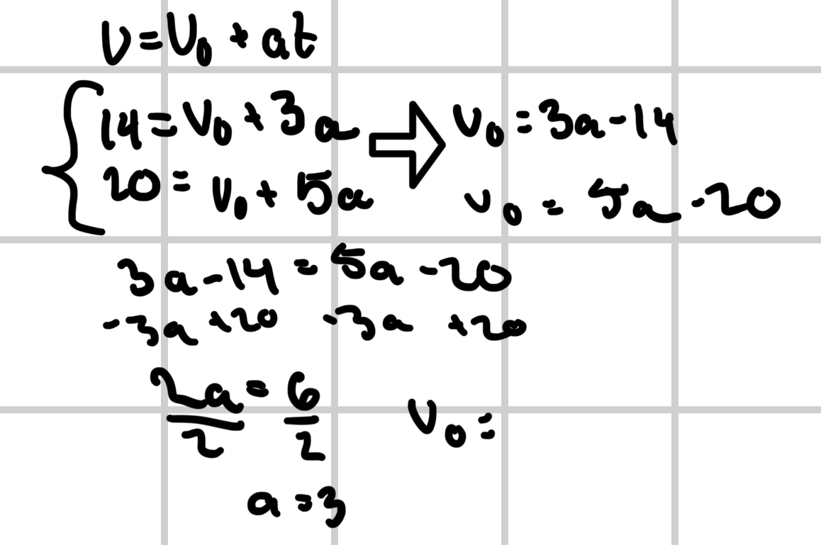
Hej! Jag hade behövt lite hjälp med följande uppgift. Har försökt ställa upp och lösa ett ekvationssystem, men får farten från starten negativ, vilket är fel, det säger ju sig självt.


Med a=3 så blir v0=5, hur får du den till negativ? Detta stämmer för båda ekvationer.
Jag inser nu vad som blev fel, när jag bröt ut v0 så sk det egentligen stå 14-3a inte 3a-14 och samma för b