Beräkna utströmningshastigheten ur en kran
Hej är fast på följande uppgift
I uppgifterna nedan ses vattnet som en ideal fluid, Bernoullis ekvation anses gälla och friktion som t.ex. luftmotstånd försummas.
b) Vattenstrålen från en kran som är riktad
rakt nedåt har minskat i diameter med
15 % 10 cm under kranens utlopp. Beräkna vattnets utströmningshastighet!
Jag tänkte först att jag borde kunna använda formeln och skriva att
Jag sätter alltså att volymflödet som kommer ut ur kranen är samma som det volymflödet efter 10cm.
Däremot är båda V okända men jag tänker att jag borde kunna skriva V som en funktion av eftersom jag vet att vattnet accelereras med 9,82m/s då det är fritt fall och jag vet att sträckan är 10cm. Jag är däremot lite osäker på hur jag skulle skriva detta. Är tanken rätt och isåfall hur bör jag skriva hastigheten eller har jag helt fel och hur bör jag isåfall tänka?
Ja, det verkar rätt tänkt. Men du kan ju även utnyttja Bernoullis ekvation, eftersom den nämns i problemtexten.
Att använda Bernoullis ekvation låter ju rimligt men jag är lite osäker hur jag ska sätta in arean. Det är väll trycket som ändras när arean minskar?
Du kan nog anta att trycket är konstant = trycket hos omgivande luft.
Men om trycket är konstant vad är det då som arean påverkar? Är det densiteten??
Du har ju redan satt upp en ekvation där arean ingår. Du har två obekanta: V och V0. Sätt upp Bernoullis ekvation så får du ett samband till. Sedan kan du lösa för de obekanta hastigheterna.
Ah tänkte inte på att jag kunde göra så men förstår vad du menar. Det borde ju fungera!
Testade men får tyvärr inte rätt. Ser du vad jag gör för fel?

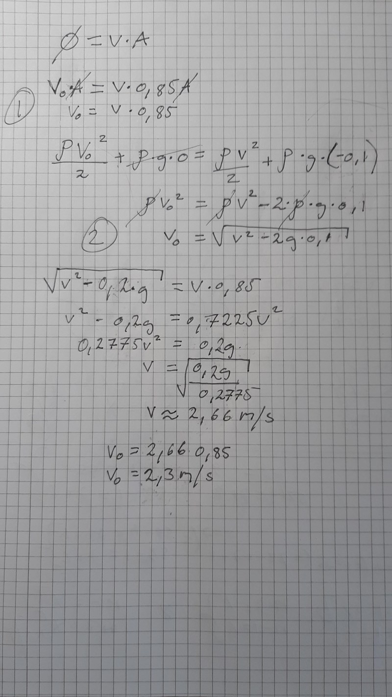
Du missar att kvadrera 0,85 på ett ställe.
Fixade det felet men får fortfarande fel...

A0V0 = AV
V2 - (V0)2 = 2gh
V0 = = 2,26 m/s
Ja, jag får samma. Vad säger facit?
Står att det ska bli 1,5 m/s. Uppgiften kommer från en gammal ex tenta så kan kanske va att det står fel i facit??