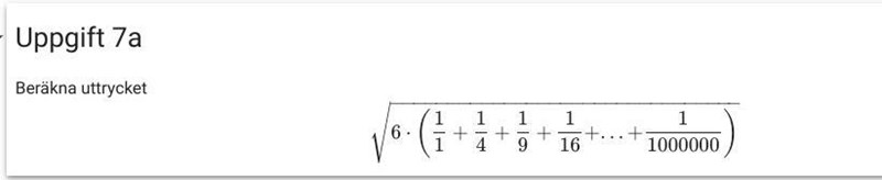
Beräkna uttrycket

Jag har börjat med att försöka se mönstret. Det jag ser är att från 1-4 skiljer det 3. Från 4-9 skiljer det 5.
Alltså skiljer det med två mer efter varje tal i nämnaren. Nästa tal kommer vara 16+7= 23. Men jag fattar inte hur jag ska skriva in detta i programmet.
Notera att:
12 = 1
22 = 4
32 = 9
42 = 16
Skaft skrev:Notera att:
12 = 1
22 = 4
32 = 9
42 = 16
Ja! Tack såg inte det. :)
Nej, nästa nämnare kommer inte att vara 23. Den kommer att vara 25.
4-1=3, 9-4=5, 16-9=7, 25-16=9, o s v
Och tittar man närmare på kvoterna så kan man se även detta mönster:
Börja med att fundera ut vilket mönster du vill använda i ditt program.
Programmet kommer att behöva en slinga, fundera på startvärden och slutvärden för den.
Lindehaven skrev:Nej, nästa nämnare kommer inte att vara 23. Den kommer att vara 25.
4-1=3, 9-4=5, 16-9=7, 25-16=9, o s v
Och tittar man närmare på kvoterna så kan man se även detta mönster:
Börja med att fundera ut vilket mönster du vill använda i ditt program.
Programmet kommer att behöva en slinga, fundera på startvärden och slutvärden för den.
Okej! Jag vill använda 1/n^2.
Startvärdet är väll 0 och sedan plusar man på n += 1
slutvärdet kommer vara om n är = 1000000
repetera == False:
Nej, startvärdet på n är 1 och slutvärdet på n är 1000. Startar du n med värdet 0 blir det division med noll. Slutar du med n = 1000000 så blir n2 = 1012 !