1
svar
10
visningar
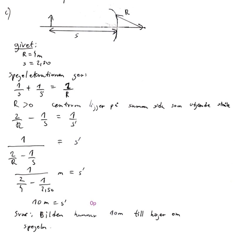
Beräkna var bilden av objektet hamnar


Hej!
Som ni ser så löste jag uppgiften på det sättet ovan (andra bilden ) och fick tyvärr 0 poäng. Jag vet ej vad som gick snett här. Jag tolkade krökningsradiens centrum som en cirkel med R>0 enligt tecken konvention.
Spegeln är, som du har ritat, konvex. (Krökningscentrum på motsatt sida som objektet.) Brännvidden är då negativ.