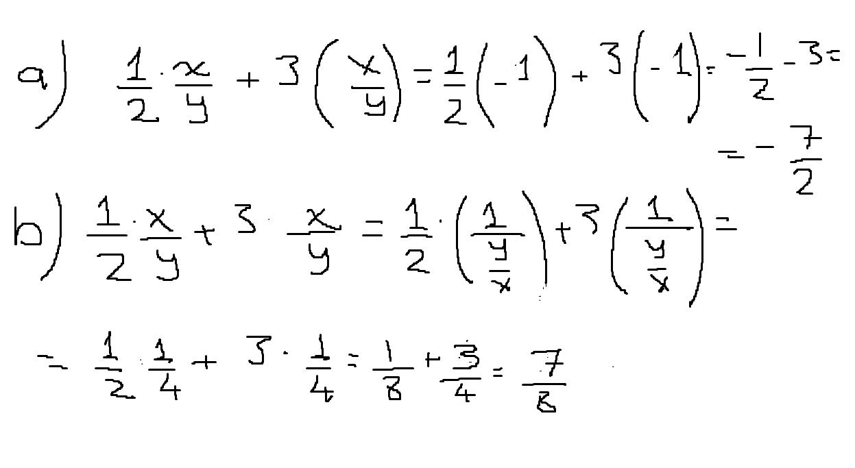
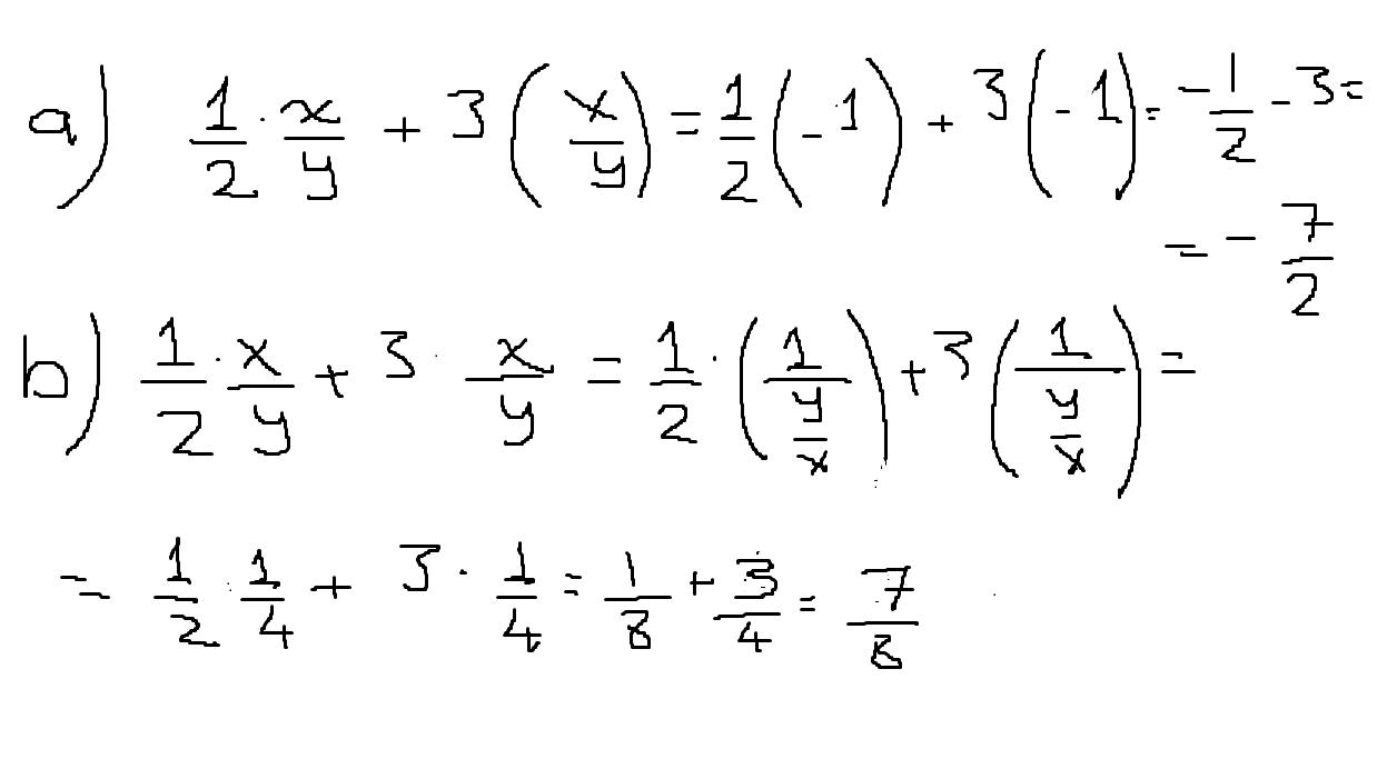
Beräkna värdet av uttrycket


Hej!
Har fastnat lite på denna fråga och vet inte riktigt hur jag ska beräkna värdet. Såhär står det på facit:
Jag har bara försökt med uppgift a och förstår inte varför man ska byta ut x med -y och hur man ens får det svaret. Det enda jag har gjort är att byta ut x som man kan se på andra bilden men hur ska jag ta mig vidare?
Tack på förhand!
Vad händer om du multiplicerar båda sidor med y?
Sen har du skrivit fel i andra bråket. Om x=-y så blir det
thedifference skrev:
Vad händer om du multiplicerar båda sidor med y?
Sen har du skrivit fel i andra bråket. Om x=-y så blir det
Ja juste man får -y när man multiplicerar med y och sedan så blir andra bråket -3y/y för att det står 3x som betyder multiplikation, men hur ska jag göra sen?
Du har en faktor y i täljaren och en faktor y i nämnaren, så de kan förkortas bort.
Det sättet funkar, men jag skulle ha tänkt så här istället:
Tack allihopa för hjälpen! Blev ju mycket lättare att lösa de nu, fick rätt svar på båda frågorna!
Cien skrev:
Tack för förklaringen för fråga B !

