Beräkna vattendjup
Hejsan,
Sitter med denna fråga och jag vet inte riktigt om jag tänker galet. Tycker alla dessa trigometriska samband är lite rörigt.
men jag tänker att för A borde väl det bli som störst då cos0,1*pi*t=1? Och då borde väl djupet vara just 4,5 meter?
och b) så borde det väl vara att sätta 3,0+1,5cos0,1*pi*t=4 och sedan börja trassla ut det?
är jag helt ute och cyklar nu?
tack på förhand!
Nej, det stämmer.
Tack så mycket för snabbt svar,
Kommer hit nu. Jag tror jag gjort rätt, men jag stirrar på de där 153.39 och vet inte riktigt vad jag ska göra härnäst. Ringade in där jag tror det blivit fel, eller jag åtminstone känner mig lite osäker på.
Har du räknaren inställd på radianer? Om inte gör det!
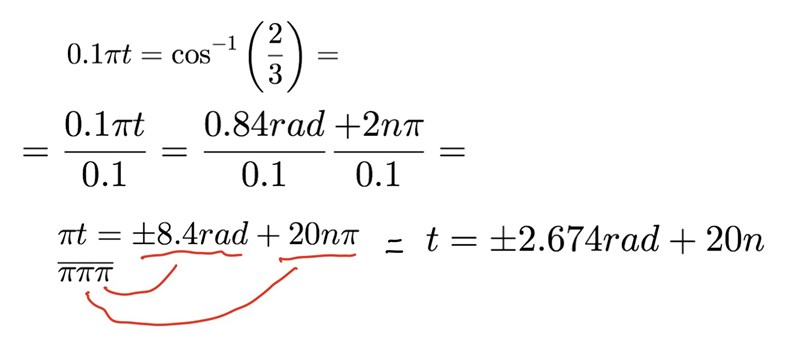
arccos (2/3) ger två svar + och - 0,84 radianer + 2npi
Så 0,1t*pi = +- 0,84 + 2npi => t = ...
Nu ska du hitta de värden på t som ligger inom 24 timmar
Nej den var på grader.
nu verkar datorn lite trött och la alla under pi*t, därav rött klotter sålänge.
Det vart ju helt klart snyggare och känns mer rätt.
’ska jag tolka detta svaret i form av plus eller minus 2,674 timmar innan eller efter midnatt? Vad är då 20n? Hur många timmar det är mellan 4meter cyklerna?
t = +- 2,67 + 20n
Då sätter vi n = 0, och t = + 2,67
ger t = 2,67
n = 1
ger t = 22,67
n = 2 ger t = 42,67 hoppsan, mer än ett dygn ingen giltig lösning
Sen provar vi med t = -2,67 och n = 0
ger t = -2,67 nej det duger inte
n = 1 ger t = -2,67 + 20 = 17,33
n = 2 ger t = 40 -2,67, nej det duger inte heller
Således vid tiderna
t = 2,67
t = 17,33
t = 22,67
är vattnet 4 m djupt.
Nu måste du prova om dett stämmer genom att sätta in i ursprungsekvationen
Aha, det verkade väldigt logiskt när du skrev det.
Det ser ut i stämma! Tusen tack för hjälpen!
Sen ska man nog svara med ett klockslag dvs timmar och minuter inte hundradels timmar