Beräkna växelspänning / växelström (Med korrekt lösning)
Jag försöker förstå hur man beräknar (växelspänning / växelström) med hjälp av den bifogade uppgiften och dess lösning. Om man kollar på lösningen undrar jag följande:
1. Hur fick han lika med ?
2. Hur får man fram det numeriska värdet och kan likställa det med
Jag har markerat i bilden till lösningen vart mina frågor finns.
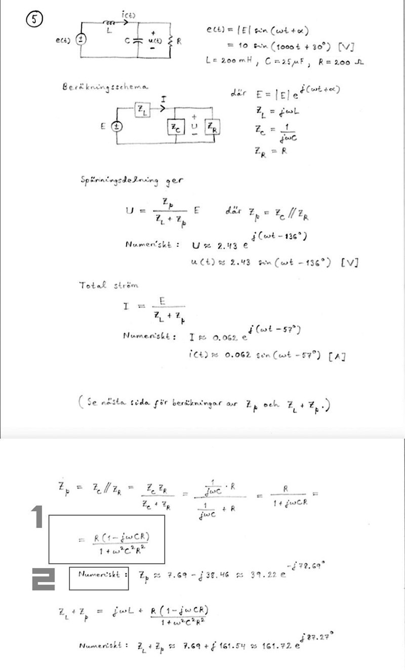
Uppgift:

Lösning:

1. Man förlänger uttrycket med det komplexa konjugatet till nämnaren.
2. Polär form. a + jb = z = |z|ejarg(z) = (a2+ b2)1/2ejarctan(b/a).
PATENTERAMERA skrev:1. Man förlänger uttrycket med det komplexa konjugatet till nämnaren.
2. Polär form. a + jb = z = |z|ejarg(z) = (a2+ b2)1/2ejarctan(b/a).
Okej tack för svar!
1. Kanske dum fråga men varför försvinner j från nämnaren då?
sudd skrev:PATENTERAMERA skrev:1. Man förlänger uttrycket med det komplexa konjugatet till nämnaren.
2. Polär form. a + jb = z = |z|ejarg(z) = (a2+ b2)1/2ejarctan(b/a).
Okej tack för svar!
1. Kanske dum fråga men varför försvinner j från nämnaren då?
(a + jb)(a - jb) = a2 - (jb)2 = a2 + b2
PATENTERAMERA skrev:sudd skrev:PATENTERAMERA skrev:1. Man förlänger uttrycket med det komplexa konjugatet till nämnaren.
2. Polär form. a + jb = z = |z|ejarg(z) = (a2+ b2)1/2ejarctan(b/a).
Okej tack för svar!
1. Kanske dum fråga men varför försvinner j från nämnaren då?
(a + jb)(a - jb) = a2 - (jb)2 = a2 + b2
Vet du hur han fick 7.69 + j161.54 för ?
Jag får R/(1+(1000^2)*25*(10^-6)*200^2)) = 0.00019 och
-jwcr/(1+(1000^2)*25*(10^-6)*200^2)) = -j0.000999 alltså
0.00019 -j0.000999 :/
Min fråga är alltså hur man får:
=7.69 - j38.46 från
= 1000 x 200 x 25 x 10-6 = 5. R = 200
200(1 - j5)/26 = 7,69 - j38,46