14 svar
2625 visningar
student_001 behöver inte mer hjälp
student_001 27 – Fd. Medlem
Postad: 7 apr 2022 17:09

Beräkna växelström samt fasvinkel i krets

Uppgiften är att beräkna strömmen I och dess fasvinkel relativt spänningen. Växelspänningen har spänningen V (effektivvärde), frekvensen, f, samt i kretsen finns induktansen L, kapacitansen C och resistansen R. 

För att beräkna strömmen tänkte jag att man antingen (metod1) kunde beräkna Ieff =Veff/|Zkomplex|

där Zkomplex=(1/jwC)+(jwLR/R+jwL)

Eller genom att potentialvandra (metod2) i de 2 maskorna få uttrycken för I1 & I2, vilka sedan adderas: 

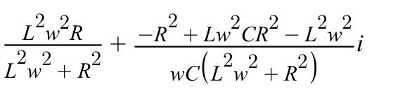
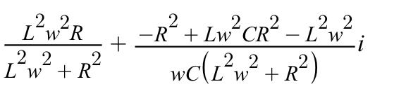
Ikomplex=I1+I2=((1/jwL)+ (1/((1/jwC)-R))Veff

Problemet är att jag med den första metoden inte vet hur jag får ut strömmens fasvinkel. Med den andra metoden kan jag beräkna fasvinkeln genom: vinkeln=arctan(|Ikomplex|), men uttrycken är å andra sidan jobbiga att arbeta med. 

Söker hjälp med att se om jag är på rätt väg och även vilken metod jag bör använda för att beräkna strömmen & fasvinkeln på enklaste sett. 

Tack!

SaintVenant 3999
Postad: 8 apr 2022 18:59 Redigerad: 8 apr 2022 19:11

Jag skulle modifiera den första metoden genom att inte räkna ut effektivvärdet. Beskriv helt enkelt komplext med Eulers lag:

I=VejωtZkomplexI = \dfrac{Ve^{j\omega t}}{Z_{komplex}}

arg(I)=ωt-arg(Zkomplex)arg(I) = \omega t - arg(Z_{komplex})

Du kommer alltså få ut fasvinkeln relativt spänningen som komplexa argumentet för ekvivalent impedans. Uttrycket för ekvivalent impedans som du har nu ser lite knepig ut. Jag skulle råda dig att skriva om den.

student_001 27 – Fd. Medlem
Postad: 9 apr 2022 10:27

Låter bra! Menar du att skriva om Zkomplex på motsvarande form som Vejwt? I så fall, hur gör man för att "addera" ihop de olika impedansen på den formen? Har själv tidigare endast nyttjat jw-metoden på formen Z=a+bi. 

SaintVenant 3999
Postad: 9 apr 2022 13:32 Redigerad: 9 apr 2022 13:32

Behandla impedanserna som vanliga resistanser vilket ger:

Zkomplex=1/jωC+R·jωLR+jωLZ_{komplex} = 1/j\omega C + \dfrac{R \cdot j\omega L}{R+j\omega L}

Detta är samma som du hade bortsett från att ditt uttryck saknade korrekta parenteser. Ta nu fram komplexa argumentet för ekvivalent impedans:

argZkomplex=arctan(ba)\arg\left(Z_{komplex}\right) = \arctan(\dfrac{b}{a})

Där du alltså skriver om det på a+bi-form, där a är resistansen och b är reaktansen. Jag vet tyvärr inget enklare sätt även om kan det finnas något.

student_001 27 – Fd. Medlem
Postad: 9 apr 2022 13:46

Ser att uttrycket för Zkomplex blir det som står ovan, vilket ändå är hanterbart. Vill du bara motivera varför vi kan skriva arg(I)=ωt−arg(Zkomplex)? Det ser rimligt ut, men skulle vilja förstå det matematiskt. Dessutom, visst menar du V=Veff*2?

SaintVenant 3999
Postad: 9 apr 2022 17:15 Redigerad: 9 apr 2022 17:19
student_001 skrev:

Ser att uttrycket för Zkomplex blir det som står ovan, vilket ändå är hanterbart.

Ja, har du siffror blir det oftast mycket enkelt. Nu är det mest bara massa algebra.

Vill du bara motivera varför vi kan skriva arg(I)=ωt−arg(Zkomplex)? Det ser rimligt ut, men skulle vilja förstå det matematiskt.

Motivationen kommer från potenslagen enligt nedan:

abac=ab-c\dfrac{a^b}{a^c}=a^{b-c}

Du har exponentialformen för ett komplext tal som:

a+bj=a2+b2ej·arg(a+bj)a+bj = \sqrt{a^2+b^2} e ^{j \cdot arg(a+bj)}

Alltså, när vi uttrycker spänningen får vi:

E=VejωtE = Ve^{j \omega t}

Detta för att RMS-värdet är VV och frekvensen hos visaren är ω=2πf\omega=2\pi f så att argumentet är arg(E)=ωtarg(E) = \omega t. Vi kan på samma sätt skriva impedansen som:

Z=|Z|ej·arg(Z)Z = |Z| e^{j \cdot arg(Z)}

Detta ger oss:

I=EZ=Vejωt|Z|ej·arg(Z)=V|Z|ejωt-j·arg(Z)I = \dfrac{E}{Z} = \dfrac{Ve^{j \omega t}}{|Z| e^{j \cdot arg(Z)}} = \dfrac{V}{|Z|}e^{j \omega t-j \cdot arg(Z)}

argI=ωt-arg(Z)arg\left(I\right) = \omega t - arg(Z)

Detta samband avslöjar tydligt varför strömmen är fasförskjuten exakt 90 grader i en rent induktiv eller kapacitiv krets eftersom du då har att arg(Z)=±90°arg(Z) = \pm 90^{\circ}

Dessutom, visst menar du V=Veff*2?

De anger att V är RMS-värdet i uppgiften och då kommer också I fås ut som RMS-värde om du inte konverterar det till toppvärde. Att däremot skriva som du hade gjort såg jag som överflödigt.

student_001 27 – Fd. Medlem
Postad: 9 apr 2022 17:26

Tusen tack! Då blir det väl enklast om jag pluggar in värden i följande och svarar:

Strömmen (effektivvärde), I = V/|Zkomplex|

Fasvinkeln = wt - arg(Zkomplex)

där Zkomplex är enligt ovan

SaintVenant 3999
Postad: 9 apr 2022 19:13
student_001 skrev:

Fasvinkeln = wt - arg(Zkomplex)

Tänk på att de frågar efter fasförskjutningen relativt spänningen. Spänningen blir referenspunkt och förskjutningen blir bara:

ϕ=arg(Zkomplex)\phi = arg(Z_{komplex})

student_001 27 – Fd. Medlem
Postad: 10 apr 2022 10:56

Visst bör jag då kunna skriva:

Sökta fasförskjutningen ϕ = |arg(Ikomplex)-arg(Vkomplex)|=|(ωt−arg(Z))-(ωt)|=|-arg(Zkomplex)|=arg(Zkomplex).  ?

SaintVenant 3999
Postad: 10 apr 2022 19:39 Redigerad: 10 apr 2022 19:40

Helt korrekt bortsett från dina användningar av absolutbelopp men det är mindre viktigt i sammanhanget.

student_001 27 – Fd. Medlem
Postad: 11 apr 2022 08:30

Ska det inte va absolutbelopp, vad är felet?

student_001 27 – Fd. Medlem
Postad: 11 apr 2022 10:41

Annars blir väl fasförskjutningen negativ? Ska den vara det?

SaintVenant 3999
Postad: 11 apr 2022 16:34

Fasförskjutningen kan både vara negativ eller positiv. Det beskriver i det här fallet hur långt före eller efter spänningen som strömmen svänger. 

Om du ser dem som sinuskurvor eller visare som roterar spelar ingen roll, samma princip gäller. För en rent induktiv krets har vi impedansen:

ZL=jωLZ_L = j\omega L

Detta ger en fasförskjutning på +90 grader hos strömmen därför att vi får:

arg(ZL)=+90°arg(Z_L) = +90^{\circ}

Omvänt har vi för en rent kapacitiv krets med impedansen:

ZC=1jωCZ_C= \dfrac{1}{j\omega C}

arg(ZC)=-90°arg(Z_C)=-90^{\circ}

Detta bör du kunna läsa om i din bok eller på Wikipedia:

https://sv.m.wikipedia.org/wiki/V%C3%A4xelstr%C3%B6m

student_001 27 – Fd. Medlem
Postad: 11 apr 2022 17:04

Jag köper att den kan vara både positiv/negativ. Men, är din poäng att jag bör ta bort absolutbeloppet så att den blir negativ i detta fall? 

SaintVenant 3999
Postad: 12 apr 2022 12:05
student_001 skrev:

Jag köper att den kan vara både positiv/negativ. Men, är din poäng att jag bör ta bort absolutbeloppet så att den blir negativ i detta fall? 

Ja, jag tycker att du ska ta bort absolutbeloppet kring differensen.

Svara
Close