13 svar
119 visningar
Fausto behöver inte mer hjälp
Fausto 13
Postad: 11 feb 2023 10:19

Beräkna vikts-%

Hej, har fastnat med denna stökiometriuppgift. Här är frågan: 

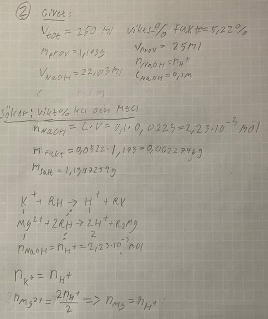
Ett fast prov innehåller okända mängder kalium- och magnesiumklorid samt fukt. 1,193g av provet löses i vatten och lösningen späds till 250 ml. 25 ml av provet tillåts passera en H+- mättad katjonbytare och eluatet förbrukar 22,03ml av en 0,1 M NaOH lösning. Fukthalten i provet bestämdes till 5,22% vikts-%. Beräkna vikts-% av kalium- och magnesiumklorid i provet.

Jag har lyckats räkna ut mängden fukt i provet men har ingen aning om hur jag ska ta mig vidare. Så här långt har jag kommit:

Smaragdalena 78892 – Avstängd
Postad: 11 feb 2023 10:53

Välkommen till Pluggakuten!

Hur många gram blandat torrt salt fanns det i 1,193 g fuktigt salt?

Hur många g torrt salt fanns det i provet som tillsattes till katjonbytaren? Hur många mol positiv laddning fanns det i provet?

Du behöver lösa ett ekvationssystem för att lösa uppgiften.

Fausto 13
Postad: 11 feb 2023 11:09

Antalet gram salt är väll (totala massan - massan av fukt ) vilket blir ungefär 1,131g?

 och är inte antalet mol positiv laddning samma som substansmängden för NaOH?

Smaragdalena 78892 – Avstängd
Postad: 11 feb 2023 12:40
Fausto skrev:

Antalet gram salt är väll (totala massan - massan av fukt ) vilket blir ungefär 1,131g?

jovisst

 och är inte antalet mol positiv laddning samma som substansmängden för NaOH?

jovisst

Kan du ställa upp det ekvationssystem som behövs för att lösa uppgiften? När du lägger din tråd på universitetskemi så förväntas du behärska både Ke1 och Ma2, som är vad som behövs för att lösa den här uppgiften.

Om du behöver mer hjälp, så visa hur långt du har kommit och fråga igen.

Fausto 13
Postad: 11 feb 2023 16:43

Är jag på rätt väg här? Då borde Kaliumjonerna och magnesiumjonerna ha samma substansmängd

Smaragdalena 78892 – Avstängd
Postad: 11 feb 2023 17:25
Fausto skrev:

Är jag på rätt väg här? Då borde Kaliumjonerna och magnesiumjonerna ha samma substansmängd

De två sista raderna är fel. 1 mol kaliumjoner ger 1 mol oxoniumjoner, och 1 mol magnesiumjoner ger 2 mol oxoniumjoner, så substansmängden oxoniumjoner är lika med substansmängden kaliumjoner plus två gånger substansmängden magnesiumjoner. 

Sätt t ex k = antal mol kaliumjoner och m = antal mol magnesiumjoner. Slå upp molmassorna för de båda salterna, och skriv en ekvation som säger att massan för de båda torra salterna är 1,13massadecimaler. 

Kommer du vidare?

Fausto 13
Postad: 11 feb 2023 17:45

Ok nu har jag ställt upp ett samband, men det jag inte förstår är hur jag ska få fram substansmängden av jonerna. Jag vet ju bara substansmängden för H+.

Smaragdalena 78892 – Avstängd
Postad: 11 feb 2023 17:55

Det andra sambandet har du fått beskrivet här:

1 mol kaliumjoner ger 1 mol oxoniumjoner, och 1 mol magnesiumjoner ger 2 mol oxoniumjoner, så substansmängden oxoniumjoner är lika med substansmängden kaliumjoner plus två gånger substansmängden magnesiumjoner. 

Substansmängden oxoniumjoner är ju lika med substansmängden NaOH. Tänk på att det inte är hela lösningen som har hällts i katjonbytaren!

Fausto 13
Postad: 11 feb 2023 18:20

ifall jag förstått rätt så blir sambandet:

2,23*10^-3 = nk + 2nmg

hur ska jag få substansmängden för nk eller nmg när jag bara har värdet för nH+?

Smaragdalena 78892 – Avstängd
Postad: 11 feb 2023 23:04
Fausto skrev:

ifall jag förstått rätt så blir sambandet:

2,23*10^-3 = nk + 2nmg

Hur fick du det sambandet? Du behöver förklara vad det är du gör, inte bara slänga fram en massa siffror.

EIT: Aha, siffrorna är substansmängden hydroxidjoner - men tänk på att det bara är 1/10 av provet som har gått genom jonbytaren!

hur ska jag få substansmängden för nk eller nmg när jag bara har värdet för nH+?

Du behöver den andra ekvationen också. Som jag skrev tidigare:

Sätt t ex k = antal mol kaliumjoner och m = antal mol magnesiumjoner. Slå upp molmassorna för de båda salterna, och skriv en ekvation som säger att massan för de båda torra salterna är 1,13massadecimaler. 

Kommer du vidare?

Fausto 13
Postad: 11 feb 2023 23:57 Redigerad: 12 feb 2023 00:00

Så nu tror jag att jag har förstått hur man skulle göra, visst ser resultatet rimligt ut?

Smaragdalena 78892 – Avstängd
Postad: 12 feb 2023 00:14

Det ser rimligt ut, men jag har inte kontrollräknat.

Fausto 13
Postad: 12 feb 2023 00:25

Ok, tack så mycket för hjälpen annars. Sorry att jag var lite trög i början

Smaragdalena 78892 – Avstängd
Postad: 12 feb 2023 04:08

Det behöver du inte be om ursäkt för. 

Svara
Close