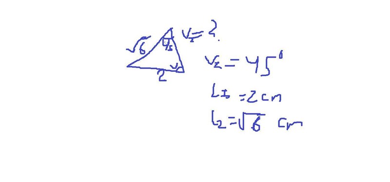
Beräkna vinkel för spetsig triangel?
Hej jag har satt och funderat på hur löser man den här frågan: Frågan lyder på att jag ska beräkna vinkel v för spetsig triangel.Vilken sats behöver jag använda.

Vad har du försökt med?
Vilken metod passar bäst med triangel är det areasatsen, cosinussatsen eller sinussatsen? Jag har försökt men misslyckades. Any help
sinussatsen
Så det är sinussaten och inte cosinussatsen.
i det här fallet passar sinussatsen bäst, Prova!!
Jag har en fråga hur ställer man med sinussatsen. Är det Sin A/a= Sin B/b=Sin C/c.
Är det här rätt?
mask134 skrev:Jag har en fråga hur ställer man med sinussatsen. Är det Sin A/a= Sin B/b=Sin C/c.
Är det här rätt?
Sin(A)/a= Sin(B)/b ska det vara. (sin(C)/c går också bra)
Du har missat sin(v) i andra raden , bara skrivit v, vilket är fel!
Nu virrar du till det
Sin(A)/a= Sin(B)/b
Dvs sin för en vinkel delat med motstående sidas längd är lika-
Således
vilket i och för sig är det som du skrev på sista raden men vägen diy verkade oklar
förenkla och lös ut v
Men kan du visa hur man löser ut v istället för att jag blandar med det.
Försök att lösa, visa hur du gjort så tar vi det däifrån
Hej jag har räknat det och fick sin(v)= 3sin(45)/√6.
Visa steg för steg hur du har gjort för att komma dit, så kan vi hjälpa dig att hitta var det har gått fel. Sinus för något kan nämligen aldrig vara större än 1, så du måste ha gjort fel.
mask134 skrev:Hej jag har räknat det och fick sin(v)= 3sin(45)/√6.
Man kan förenkla högerledet ganska mycket.
Kan ni visa mig hur man löser ut vad är vinkel. Jag vet inte hur man gör det?
Hur mycket är sin(45 grader)?
Hej sin(45 grader) är 1/√2 eller √2/2.
Sätt in det i ekvationen och förenkla