1
svar
101
visningar
C4MEJOKER behöver inte mer hjälp
Beräkna volym
Hej!
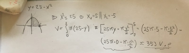
Har nyligen stött på en uppgift som ser ut på följande vis:

och där jag löst uppgiften på följande sätt:

Men jag förstår inte vart jag gjort fel, för det har jag tydligen gjort då mitt svar inte stämmer överens med facit.
Tack i förhand!
Har hittat lösningen!