Beräkna volym (variabelbyte, trippelintegral)
Hej,
Nu har jag lagt väldigt många timmar på en uppgift och det vill sig inte. Jag försöker lösa hur jag ska göra ett bra variabelbyte för att lösa integralen för en volym som bestäms av en kon och en cylinder. Cylindern's centrumlinje ligger förskjuten från origo...
Sfäriska koordinater känns inte rätt. Jag har försökt med cylindriska koordinater, men det vill sig inte. Jag börjar ana att man ska hitta ett annat lämpligt varaibelbyte men jag kan inte lista ut vilket. Någon som kan hjälpa en student i nöd?

Tack på förhand,
MVH, Andreas
Jag tycker det enklaste verkar vara att skiva cylindern i xz-planet, vinkelrätt mot y-axeln. Jag har inte räknat på det, men det ser genomförbart ut. Du får en mängd rektangulära skivor att summera, och varken x-värdet eller z-värdet verkar omöjligt att beräkna.
I det här fallet beräknade jag
Jag använde mig polärt system för uträkningar:
Tack för era svar. Jag ska kolla noggrannare på detta i början av nästa vecka. Jag tror jag hittade en video som kan vara till ganska bra hjälp också:
https://www.youtube.com/watch?v=qA83eznsKp8
Jag försöker återkomma med feedback om jag får ordning på uppgiften :)
Bra alireza!
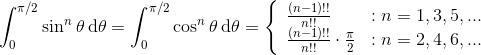
Här ett knep som underlättar nästan alla integraler i sfäriska (och ibland i cylindriska) koordinater:
.jpg?width=800&upscale=false)
Direkt kan man utvärdera integralerna
.
Hej!
För att kontrollera om den beräknade integralen är rimlig kan du använda din fina figur för att begränsa integralen.
Figuren indikerar att integralen ska vara mindre än kalv-konens volym och mindre än cylinderns volym.
Halv-konens volym är
Cylinderns volym är
Eftersom 4/3 < 2 så ska integralen vara mindre än halv-konens volym.
Albiki
Tack för hjälpen med denna uppgift! Det var verkligen bra! 🙂