Beräkna volymen av den mindre kroppen
Hej,
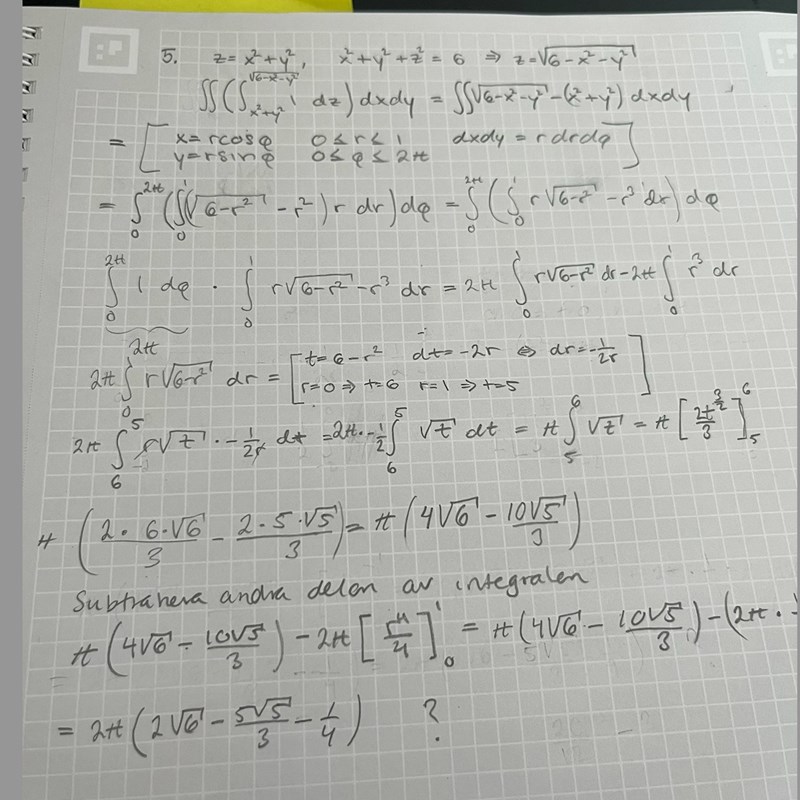
Jag räknar på frågan:
"När ytorna z = x^2+y^2 och x^2+y^2+z^2 = 6 skär varandra bildas två stycken begränsade kroppar. Bestäm volymen av den minsta av dessa kroppar."
Jag vet att det är en paraboloid och en sfär och jag har räknat på volymen mellan dessa, men jag fattar inte vilken kropp som ska uppstå som är den mindre. Svaret ska bli 2pi(2*sqrt(6)-11/3), men jag får 2(2sqrt(6) - (5sqrt(5))/3 - 1/4). Btw i min lösning så vet jag att z ska lösas ut till både +- sqrt(6-x^2-y^2). men om jag istället undersökt gränserna mellan - sqrt(6-x^2-y^2) och x^2 + y^2 hade jag fått samma värden men bara motsatta tecken.
Hur ska jag räkna??


Notera att det finns en rotationssymmetri i xy-planet. Därmed kan vi reducera problemet till 2D, med variablerna r och z.
Den kropp du ska integrera över är "den övre delen av sfären", den som skärs av paraboloiden. Det andra område de syftar på är "den undre delen av sfären", som inte skärs.
Vidare skulle jag dela upp ditt område i 2, en från z=0 till z=skärningspunkten mellan sfären och paraboloiden. Och det andra området är det område som ligger ovanför.
Bestäm z uttryck i x och y (alternativt r) för de bägge områdena och integrera.
Din lösning fungerar, men du har satt fel gränser för r. Ytorna skär inte varandra då r=1