Beräkna volymen av det område som definieras av 2xyz<=1


Jag fick tyvärr fel på denna fråga och förstår inte riktigt varför.
För att beräkna volymen av en kropp, så ska man integrera talet 1 med kroppen som integrationsområdet, d.v.s. .
Kroppen här består av de punkter i enhetskuben som uppfyller olikheten . Integrationsgränserna kan bli besvärliga då övre gränsen ges ibland av ytan 2xyz=1 och ibland av kubens sida. Det är dock enklare att beräkna volymen av komplementet i enhetskuben. Där ges undre gränsen av ytan, medan övre gränsen av kubens sidor.
Sökta volymen = enhetskubens volym - komplementets volym.
Komplementet består alltså de punkter där och samtidigt , , .
Dessa olikheter utnyttjas till att ta fram integrationsgränserna för komplementets volym, t.ex.:
- i innersta integralen
- i mittersta integralen
- i yttersta integralen
Se figuren på https://www.desmos.com/3d/szca52h0ew
LuMa07 skrev:För att beräkna volymen av en kropp, så ska man integrera talet 1 med kroppen som integrationsområdet, d.v.s. .
Kroppen här består av de punkter i enhetskuben som uppfyller olikheten . Integrationsgränserna kan bli besvärliga då övre gränsen ges ibland av ytan 2xyz=1 och ibland av kubens sida. Det är dock enklare att beräkna volymen av komplementet i enhetskuben. Där ges undre gränsen av ytan, medan övre gränsen av kubens sidor.
Sökta volymen = enhetskubens volym - komplementets volym.
Komplementet består alltså de punkter där och samtidigt , , .
Dessa olikheter utnyttjas till att ta fram integrationsgränserna för komplementets volym, t.ex.:
- i innersta integralen
- i mittersta integralen
- i yttersta integralen
Hur kommer du fram till dessa gränser? Jag ser verkligen inte hur man ska se dessa gränser. Jag har inte greppat riktigt komplementet av volymen tyvärr eller varför vi skall ha 2xyz>=1
LuMa07 skrev:Se figuren på https://www.desmos.com/3d/szca52h0ew
I figuren kan man visa/dölja den givna kroppen och dess komplement i enhetskuben.
Båda leden i olikheten divideras med och (som båda är positiva, så olikhetstecknet bevaras), vilket ger att . Dessutom ska man befinna sig i enhetskuben, så .
Om det ska finnas något utrymme för enligt denna dubbelolikhet, så måste . Om båda leden multipliceras med (som är positivt, så olikhetstecknet bevaras), så fås att . Dessutom ska man befinna sig i enhetskuben, så .
Om det ska finnas något utrymme för enligt denna dubbelolikhet, så måste . Om båda leden multipliceras med (som är positivt, så olikhetstecknet bevaras), så fås att . Dessutom ska man befinna sig i enhetskuben, så .
LuMa07 skrev:LuMa07 skrev:Se figuren på https://www.desmos.com/3d/szca52h0ew
I figuren kan man visa/dölja den givna kroppen och dess komplement i enhetskuben.
Båda leden i olikheten divideras med och (som båda är positiva, så olikhetstecknet bevaras), vilket ger att . Dessutom ska man befinna sig i enhetskuben, så .
Om det ska finnas något utrymme för enligt denna dubbelolikhet, så måste . Om båda leden multipliceras med (som är positivt, så olikhetstecknet bevaras), så fås att . Dessutom ska man befinna sig i enhetskuben, så .
Om det ska finnas något utrymme för enligt denna dubbelolikhet, så måste . Om båda leden multipliceras med (som är positivt, så olikhetstecknet bevaras), så fås att . Dessutom ska man befinna sig i enhetskuben, så .
Jaha ok då förstår jag hur du har fått fram gränserna. Jag ser inte komplementet riktigt i figuren. Vad menas med enhetskuben förresten?
Enhetskuben = kub med sidlängden 1, där sidorna är parallella med koordinatplan, och ena hörnet ligger i origo och hörnet längst bort ligger i pkten (1, 1, 1).
Det är alltså kuben där och och
LuMa07 skrev:Enhetskuben = kub med sidlängden 1, där sidorna är parallella med koordinatplan, och ena hörnet ligger i origo och hörnet längst bort ligger i pkten (1, 1, 1).
Det är alltså kuben där och och
Ja okej det är alltså som den i wikipedia när man söker på enhetskuben. Men vad menas med komplementet av kuben som vi räknar på i denna uppgift?
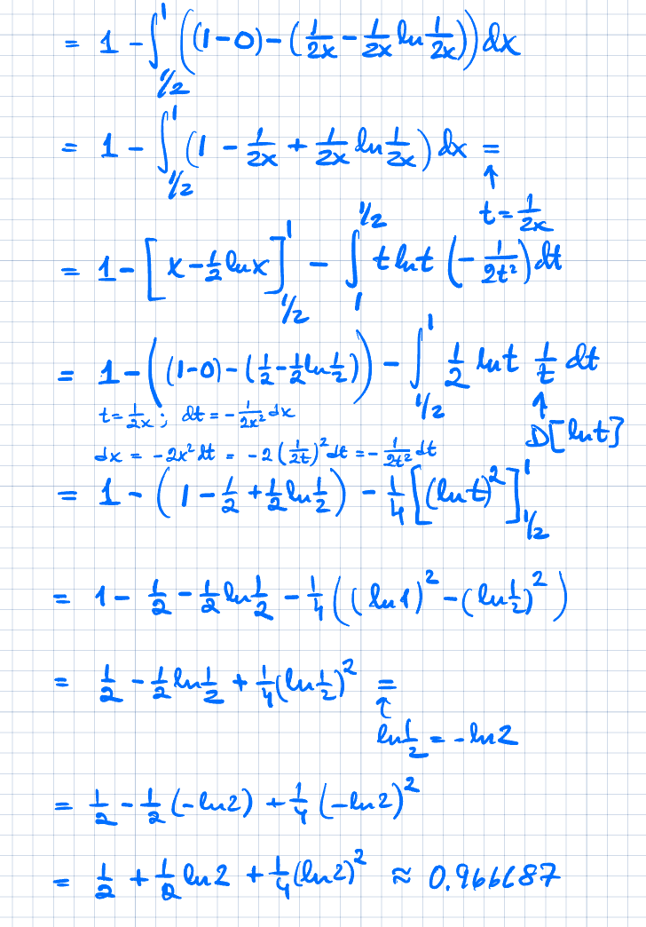
Edit: dx/dt-beräkningen/subst. kom 2 rader för långt ner, men jag tror du förstår steget...


Trinity2 skrev:Edit: dx/dt-beräkningen/subst. kom 2 rader för långt ner, men jag tror du förstår steget...
Nej jag förstår inte. Jag förstår inte varför vi tar 1-integralerna


