Beräkna volymen av det området vid rotation kring y-axeln.
Hej, jag har några frågor angående uppgiften som lyder :
Kurvan y= 9 -x^2 och x-axeln begränsar ett område. Beräkna volymen av det området vid rotation kring y-axeln. Svara volymen med enheten v.e.

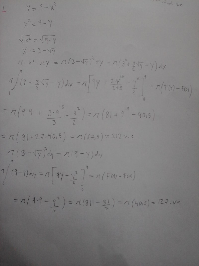
Jag har försökt lösa uppgiften på två olika sätt. De är markerade med rött. På det första så är svaret fel. Jag undrar först om uträkningen är rätt på den första(alltså utförandet av beräkningen och inte beslutet till göra den beräkningen ). Min andra fråga är varför blev svaret fel(Kan det bero på att man söker efter volymen kring y-axeln och inte x-axeln?). Min tredje fråga är angående andra beräkningen, här så är svaret rätt men är beslutet till uträkningen rätt?(för att om man försöker lösa en uppgift som handlar om volymen kring en x-axel på samma sätt så kommer man få fel svar)
Din första och andra fråga:
Du verkar tänka rätt men matematiken brister lite. Här beräknar du volymen av en liten cylinder med höjden , det är en bra start:

Här gör du fel med roten ur. Testa att sätta in ett värde på y (något annat än 0) i de 2 högerleden så ser du att det är fel:

Här gör du fel med kvadreringsregeln:

Men annars tycker jag att det ser bra ut (fast det ska stå dy överallt inte dx, men det kanske det gör...).
Din tredje fråga:
Jag förstår inte vad du vill göra här. Dessutom gör du fel med matten här också, t.ex. kvadreringsregeln:

Peter skrev:Din första och andra fråga:
Du verkar tänka rätt men matematiken brister lite. Här beräknar du volymen av en liten cylinder med höjden , det är en bra start:
Här gör du fel med roten ur. Testa att sätta in ett värde på y (något annat än 0) i de 2 högerleden så ser du att det är fel:
Här gör du fel med kvadreringsregeln:
Men annars tycker jag att det ser bra ut (fast det ska stå dy överallt inte dx, men det kanske det gör...).
Din tredje fråga:
Jag förstår inte vad du vill göra här. Dessutom gör du fel med matten här också, t.ex. kvadreringsregeln:
Okej, då är den andra uträkningen fel eftersom kvadreringen är felaktigt utförd. Jag trodde att man skulle dra roten ur VL och HL när man ska beräkna rotationen kring y-axeln, hur bör man göra istället? ska kvadreringen vara phi (9 + 6sqrty -y)?
Om så är .
Men när du drar roten ur det så blir det
och inte
.
=======
Det gäller alltså i allmänhet inte att .
Det viktiga här är att du förstår metoden som används för att beräkna vomymen.
Du har valt skivmetoden, där den kropp som ska volmberäknas delas in i ett stort antal cirkulära skivor som är vinkelräta mot rotationsaxeln, i det här fallet y-axeln. Skivorna är väldigt tunna och de kan därför ses som väldigt låga cirkulärcylindrar, där varje cylindern har radien och höjd .
Varje cylindern har volymen .
Eftersom så får varje cylinder volymen .
Dessa cylindrar (skivor) ligger staplade på varandra från till .
Kommer du vidare då?
Yngve skrev:Det viktiga här är att du förstår metoden som används för att beräkna vomymen.
Du har valt skivmetoden, där den kropp som ska volmberäknas delas in i ett stort antal cirkulära skivor som är vinkelräta mot rotationsaxeln, i det här fallet y-axeln. Skivorna är väldigt tunna och de kan därför ses som väldigt låga cirkulärcylindrar, där varje cylindern har radien och höjd .
Varje cylindern har volymen .
Eftersom så får varje cylinder volymen .
Dessa cylindrar (skivor) ligger staplade på varandra från till .
Kommer du vidare då?

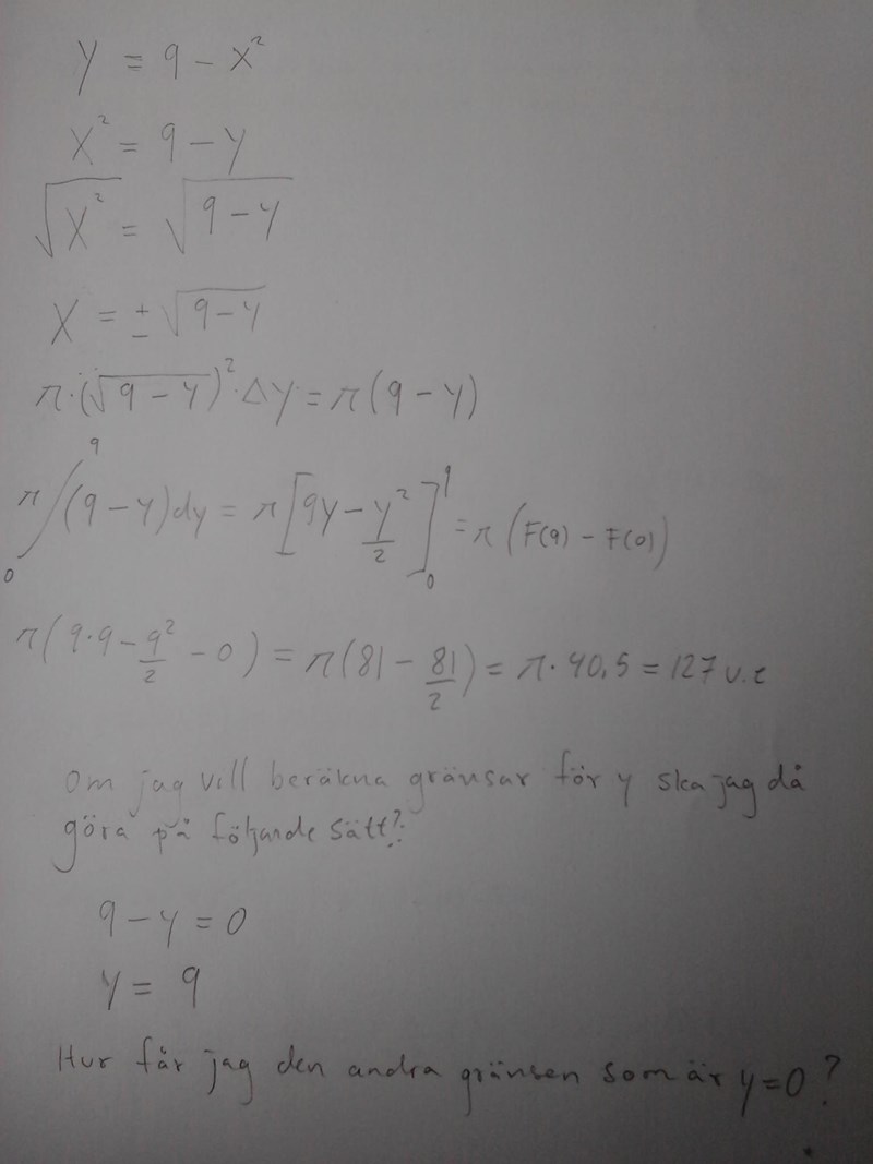
Okej, nu förstår jag varför det blev fel, Tack. Om jag vill räkna ut y gränserna ska jag då göra som på denna bild?
Bästa sättet att hitta gränserna är att rita en figur.
Jag skulle aldrig ge mig på att lösa en uppgift som rör volymberäkning av rotationskroppar utan att rita en figur
- Skissa grafen till i ett koordinatsystem.
- Markera x-axeln, dvs grafen till i samma koordinatsystem.
- Markera området som begränsas av dessa båda grafer.
Då ser du direkt att ena gränsen är och att den andra gränsen är .
Om du ändå vill beräkna den undre gränsen algebraiskt så kan du leta fram skärningspunkterna mellan de båda kurvorna och .
Yngve skrev:Bästa sättet att hitta gränserna är att rita en figur.
Jag skulle aldrig ge mig på att lösa en uppgift som rör volymberäkning av rotationskroppar utan att rita en figur
- Skissa grafen till i ett koordinatsystem.
- Markera x-axeln, dvs grafen till i samma koordinatsystem.
- Markera området som begränsas av dessa båda grafer.
Då ser du direkt att ena gränsen är och att den andra gränsen är .
Om du ändå vill beräkna den undre gränsen algebraiskt så kan du leta fram skärningspunkterna mellan de båda kurvorna och .
Tack för hjälpen!